11  Reshaping and pivots

11.1 Tidy data explainer

‘Tidy Data’ is a set of technical ideas about how data should be structured (Wickham, 2014). The original article is very much worth reading, as it emphasizes that data processing is part of the data analysis workflow - not only in a procedural sense, but in the cognitive sense that data processing and shaping is a representation of what research questions and analyses can be conducted.

There are three rules that make a dataset tidy according to Wickham (2023):

  • Each variable is a column; each column is a variable.
  • Each observation is a row; each row is an observation.
  • Each value is a cell; each cell is a single value.

Read Wickham’s chapter on Tidy Data in the second edition of R4DS. His visualizations are useful, but unfortunately the license he uses means I can’t directly include them in this book.

Alison Horst has created some infographics that explain its simplest elements well:

11.2 Examples of more and less Tidy Data

table1 is tidiest, and therefore easiest to work with within many workflows, because it adheres to the above rules. To see this in action, try to calculate a percentage prevalence (cases/population) using each dataset.

library(tidyverse)
library(knitr)
library(kableExtra)

table1 %>%
  kable() %>%
  kable_classic(full_width = FALSE)
country year cases population
Afghanistan 1999 745 19987071
Afghanistan 2000 2666 20595360
Brazil 1999 37737 172006362
Brazil 2000 80488 174504898
China 1999 212258 1272915272
China 2000 213766 1280428583
table2 %>%
  kable() %>%
  kable_classic(full_width = FALSE)
country year type count
Afghanistan 1999 cases 745
Afghanistan 1999 population 19987071
Afghanistan 2000 cases 2666
Afghanistan 2000 population 20595360
Brazil 1999 cases 37737
Brazil 1999 population 172006362
Brazil 2000 cases 80488
Brazil 2000 population 174504898
China 1999 cases 212258
China 1999 population 1272915272
China 2000 cases 213766
China 2000 population 1280428583
table3 %>%
  kable() %>%
  kable_classic(full_width = FALSE)
country year rate
Afghanistan 1999 745/19987071
Afghanistan 2000 2666/20595360
Brazil 1999 37737/172006362
Brazil 2000 80488/174504898
China 1999 212258/1272915272
China 2000 213766/1280428583

11.2.0.1 Check your learning

Why do table2 and table3 not as Tidy as table1?

11.3 Non-tidy data

There are many forms of data that are non-tidy without being messy. A proper understanding of Tidy Data requires that you understand this distinction. See Wickham’s description in the first edition of the R4DS book.

11.4 There is no one Tidy to rule them all

The same data can be represented in many different ways and still be Tidy: it can be wider or longer.

# pivot table2 to a wider format to create table1
table2 %>%
  pivot_wider(names_from = type,
              values_from = count) %>%
  kable() %>%
  kable_classic(full_width = FALSE)
country year cases population
Afghanistan 1999 745 19987071
Afghanistan 2000 2666 20595360
Brazil 1999 37737 172006362
Brazil 2000 80488 174504898
China 1999 212258 1272915272
China 2000 213766 1280428583
# compare to table1
table1 %>%
  kable() %>%
  kable_classic(full_width = FALSE)
country year cases population
Afghanistan 1999 745 19987071
Afghanistan 2000 2666 20595360
Brazil 1999 37737 172006362
Brazil 2000 80488 174504898
China 1999 212258 1272915272
China 2000 213766 1280428583

This gif helps illustrate what’s happening when you pivot data to be wider or longer (source):

11.5 Example

11.5.1 Simulate data in wide format

11.5.2 Cronbach’s alpha

Wide data like this is a) common and b) useful for calculating metrics like internal consistency.

res_alpha_depression1 <- dat_likert_wide %>%
  select(starts_with("depression1_")) %>%
  psych::alpha()

cronbachs_depression1_alpha <- res_alpha_depression1$total$raw_alpha |>
  round_half_up(digits = 2)


res_alpha_depression2 <- dat_likert_wide %>%
  select(starts_with("depression2_")) %>%
  psych::alpha()

cronbachs_depression2_alpha <- res_alpha_depression2$total$raw_alpha |>
  round_half_up(digits = 2)

Cronbach’s \(\alpha\)s:

  • Depression1 scale: 0.71
  • Depression1 scale: 0.78

11.5.3 Plot simulated data

ggplot(dat_likert_wide, aes(x = depression1_item1)) +
  geom_histogram(binwidth = 1, boundary = -0.5) +
  theme_linedraw()

ggplot(dat_likert_wide, aes(x = depression1_item2)) +
  geom_histogram(binwidth = 1, boundary = -0.5) +
  theme_linedraw()

ggplot(dat_likert_wide, aes(x = depression1_item3)) +
  geom_histogram(binwidth = 1, boundary = -0.5) +
  theme_linedraw()

ggplot(dat_likert_wide, aes(x = depression1_item4)) +
  geom_histogram(binwidth = 1, boundary = -0.5) +
  theme_linedraw()

ggplot(dat_likert_wide, aes(x = depression1_item5)) +
  geom_histogram(binwidth = 1, boundary = -0.5) +
  theme_linedraw()

ggplot(dat_likert_wide, aes(x = depression1_item6)) +
  geom_histogram(binwidth = 1, boundary = -0.5) +
  theme_linedraw()

ggplot(dat_likert_wide, aes(x = depression1_item7)) +
  geom_histogram(binwidth = 1, boundary = -0.5) +
  theme_linedraw()

ggplot(dat_likert_wide, aes(x = depression1_item8)) +
  geom_histogram(binwidth = 1, boundary = -0.5) +
  theme_linedraw()

ggplot(dat_likert_wide, aes(x = depression1_item9)) +
  geom_histogram(binwidth = 1, boundary = -0.5) +
  theme_linedraw()

ggplot(dat_likert_wide, aes(x = depression1_item10)) +
  geom_histogram(binwidth = 1, boundary = -0.5) +
  theme_linedraw()

ggplot(dat_likert_wide, aes(x = depression2_item1)) +
  geom_histogram(binwidth = 1, boundary = -0.5) +
  theme_linedraw()

ggplot(dat_likert_wide, aes(x = depression2_item2)) +
  geom_histogram(binwidth = 1, boundary = -0.5) +
  theme_linedraw()

ggplot(dat_likert_wide, aes(x = depression2_item3)) +
  geom_histogram(binwidth = 1, boundary = -0.5) +
  theme_linedraw()

ggplot(dat_likert_wide, aes(x = depression2_item4)) +
  geom_histogram(binwidth = 1, boundary = -0.5) +
  theme_linedraw()

ggplot(dat_likert_wide, aes(x = depression2_item5)) +
  geom_histogram(binwidth = 1, boundary = -0.5) +
  theme_linedraw()

ggplot(dat_likert_wide, aes(x = depression2_item6)) +
  geom_histogram(binwidth = 1, boundary = -0.5) +
  theme_linedraw()

ggplot(dat_likert_wide, aes(x = depression2_item7)) +
  geom_histogram(binwidth = 1, boundary = -0.5) +
  theme_linedraw()

  • These plots repeat the mortal coding sin of repeating ourselves. If we reshaped the data to ‘long’ format we could use just one ggplot() call that includes facet_wrap().

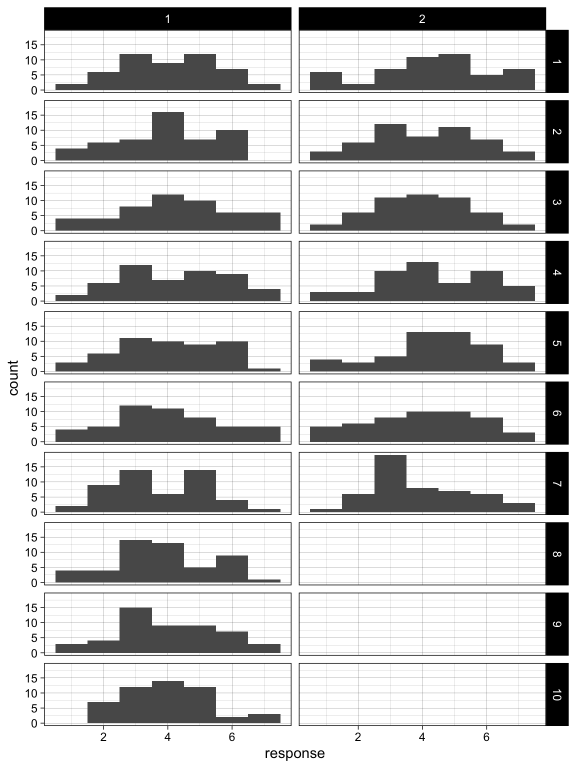
11.5.4 pivot_longer()

Using pivot_longer().

dat_likert_long <- dat_likert_wide %>%
  pivot_longer(cols = starts_with("depression"),
               names_to = "scale_item",
               values_to = "response")

ggplot(dat_likert_long, aes(x = response)) +
  geom_histogram(binwidth = 1, boundary = -0.5) +
  theme_linedraw() +
  facet_wrap(~ scale_item)

What other ways could you specify this pivot_longer()’s cols argument through negative selection?

# answer: negative selection
dat_likert_long <- dat_likert_wide %>%
  pivot_longer(cols = c(-id, -gender, -age),
               names_to = "scale_item",
               values_to = "response")

ggplot(dat_likert_long, aes(x = response)) +
  geom_histogram(binwidth = 1, boundary = -0.5) +
  theme_linedraw() +
  facet_wrap(~ scale_item)

11.5.4.1 Check your learning

Why is dat_likert_long not as tidy as it could be?

dat_likert_long 
id age gender scale_item response
1 20 female depression1_item1 3
1 20 female depression1_item2 1
1 20 female depression1_item3 5
1 20 female depression1_item4 2
1 20 female depression1_item5 2
1 20 female depression1_item6 1
1 20 female depression1_item7 4
1 20 female depression1_item8 4
1 20 female depression1_item9 1
1 20 female depression1_item10 5
1 20 female depression2_item1 6
1 20 female depression2_item2 3
1 20 female depression2_item3 3
1 20 female depression2_item4 4
1 20 female depression2_item5 1
1 20 female depression2_item6 2
1 20 female depression2_item7 2
2 22 female depression1_item1 4
2 22 female depression1_item2 6
2 22 female depression1_item3 6
2 22 female depression1_item4 5
2 22 female depression1_item5 4
2 22 female depression1_item6 6
2 22 female depression1_item7 4
2 22 female depression1_item8 6
2 22 female depression1_item9 3
2 22 female depression1_item10 4
2 22 female depression2_item1 6
2 22 female depression2_item2 6
2 22 female depression2_item3 2
2 22 female depression2_item4 4
2 22 female depression2_item5 4
2 22 female depression2_item6 3
2 22 female depression2_item7 4
3 45 female depression1_item1 4
3 45 female depression1_item2 3
3 45 female depression1_item3 3
3 45 female depression1_item4 2
3 45 female depression1_item5 3
3 45 female depression1_item6 3
3 45 female depression1_item7 2
3 45 female depression1_item8 2
3 45 female depression1_item9 5
3 45 female depression1_item10 4
3 45 female depression2_item1 5
3 45 female depression2_item2 4
3 45 female depression2_item3 4
3 45 female depression2_item4 4
3 45 female depression2_item5 6
3 45 female depression2_item6 5
3 45 female depression2_item7 3
4 28 female depression1_item1 3
4 28 female depression1_item2 4
4 28 female depression1_item3 4
4 28 female depression1_item4 1
4 28 female depression1_item5 3
4 28 female depression1_item6 6
4 28 female depression1_item7 3
4 28 female depression1_item8 4
4 28 female depression1_item9 2
4 28 female depression1_item10 3
4 28 female depression2_item1 3
4 28 female depression2_item2 5
4 28 female depression2_item3 3
4 28 female depression2_item4 4
4 28 female depression2_item5 4
4 28 female depression2_item6 5
4 28 female depression2_item7 4
5 31 female depression1_item1 3
5 31 female depression1_item2 4
5 31 female depression1_item3 2
5 31 female depression1_item4 6
5 31 female depression1_item5 5
5 31 female depression1_item6 3
5 31 female depression1_item7 5
5 31 female depression1_item8 4
5 31 female depression1_item9 3
5 31 female depression1_item10 2
5 31 female depression2_item1 3
5 31 female depression2_item2 6
5 31 female depression2_item3 2
5 31 female depression2_item4 7
5 31 female depression2_item5 3
5 31 female depression2_item6 2
5 31 female depression2_item7 3
6 33 male depression1_item1 6
6 33 male depression1_item2 4
6 33 male depression1_item3 4
6 33 male depression1_item4 5
6 33 male depression1_item5 4
6 33 male depression1_item6 2
6 33 male depression1_item7 2
6 33 male depression1_item8 5
6 33 male depression1_item9 2
6 33 male depression1_item10 5
6 33 male depression2_item1 4
6 33 male depression2_item2 4
6 33 male depression2_item3 3
6 33 male depression2_item4 3
6 33 male depression2_item5 6
6 33 male depression2_item6 5
6 33 male depression2_item7 4
7 22 female depression1_item1 3
7 22 female depression1_item2 4
7 22 female depression1_item3 1
7 22 female depression1_item4 3
7 22 female depression1_item5 2
7 22 female depression1_item6 1
7 22 female depression1_item7 3
7 22 female depression1_item8 3
7 22 female depression1_item9 3
7 22 female depression1_item10 3
7 22 female depression2_item1 1
7 22 female depression2_item2 4
7 22 female depression2_item3 4
7 22 female depression2_item4 3
7 22 female depression2_item5 5
7 22 female depression2_item6 2
7 22 female depression2_item7 3
8 25 nonbinary depression1_item1 6
8 25 nonbinary depression1_item2 5
8 25 nonbinary depression1_item3 3
8 25 nonbinary depression1_item4 4
8 25 nonbinary depression1_item5 4
8 25 nonbinary depression1_item6 3
8 25 nonbinary depression1_item7 6
8 25 nonbinary depression1_item8 4
8 25 nonbinary depression1_item9 3
8 25 nonbinary depression1_item10 4
8 25 nonbinary depression2_item1 5
8 25 nonbinary depression2_item2 2
8 25 nonbinary depression2_item3 5
8 25 nonbinary depression2_item4 3
8 25 nonbinary depression2_item5 5
8 25 nonbinary depression2_item6 6
8 25 nonbinary depression2_item7 2
9 23 male depression1_item1 3
9 23 male depression1_item2 6
9 23 male depression1_item3 1
9 23 male depression1_item4 4
9 23 male depression1_item5 2
9 23 male depression1_item6 3
9 23 male depression1_item7 5
9 23 male depression1_item8 3
9 23 male depression1_item9 3
9 23 male depression1_item10 7
9 23 male depression2_item1 1
9 23 male depression2_item2 2
9 23 male depression2_item3 2
9 23 male depression2_item4 1
9 23 male depression2_item5 2
9 23 male depression2_item6 1
9 23 male depression2_item7 2
10 38 female depression1_item1 2
10 38 female depression1_item2 4
10 38 female depression1_item3 5
10 38 female depression1_item4 3
10 38 female depression1_item5 3
10 38 female depression1_item6 4
10 38 female depression1_item7 2
10 38 female depression1_item8 6
10 38 female depression1_item9 6
10 38 female depression1_item10 3
10 38 female depression2_item1 5
10 38 female depression2_item2 3
10 38 female depression2_item3 7
10 38 female depression2_item4 6
10 38 female depression2_item5 3
10 38 female depression2_item6 3
10 38 female depression2_item7 3
11 21 female depression1_item1 2
11 21 female depression1_item2 4
11 21 female depression1_item3 3
11 21 female depression1_item4 5
11 21 female depression1_item5 2
11 21 female depression1_item6 3
11 21 female depression1_item7 4
11 21 female depression1_item8 4
11 21 female depression1_item9 3
11 21 female depression1_item10 2
11 21 female depression2_item1 1
11 21 female depression2_item2 2
11 21 female depression2_item3 4
11 21 female depression2_item4 4
11 21 female depression2_item5 4
11 21 female depression2_item6 1
11 21 female depression2_item7 4
12 22 female depression1_item1 1
12 22 female depression1_item2 5
12 22 female depression1_item3 1
12 22 female depression1_item4 3
12 22 female depression1_item5 2
12 22 female depression1_item6 6
12 22 female depression1_item7 2
12 22 female depression1_item8 1
12 22 female depression1_item9 2
12 22 female depression1_item10 2
12 22 female depression2_item1 3
12 22 female depression2_item2 3
12 22 female depression2_item3 3
12 22 female depression2_item4 1
12 22 female depression2_item5 1
12 22 female depression2_item6 3
12 22 female depression2_item7 3
13 41 male depression1_item1 4
13 41 male depression1_item2 5
13 41 male depression1_item3 3
13 41 male depression1_item4 6
13 41 male depression1_item5 6
13 41 male depression1_item6 5
13 41 male depression1_item7 3
13 41 male depression1_item8 6
13 41 male depression1_item9 6
13 41 male depression1_item10 4
13 41 male depression2_item1 6
13 41 male depression2_item2 7
13 41 male depression2_item3 4
13 41 male depression2_item4 3
13 41 male depression2_item5 6
13 41 male depression2_item6 7
13 41 male depression2_item7 5
14 43 nonbinary depression1_item1 3
14 43 nonbinary depression1_item2 4
14 43 nonbinary depression1_item3 4
14 43 nonbinary depression1_item4 3
14 43 nonbinary depression1_item5 5
14 43 nonbinary depression1_item6 2
14 43 nonbinary depression1_item7 1
14 43 nonbinary depression1_item8 4
14 43 nonbinary depression1_item9 4
14 43 nonbinary depression1_item10 5
14 43 nonbinary depression2_item1 5
14 43 nonbinary depression2_item2 5
14 43 nonbinary depression2_item3 5
14 43 nonbinary depression2_item4 5
14 43 nonbinary depression2_item5 4
14 43 nonbinary depression2_item6 6
14 43 nonbinary depression2_item7 4
15 29 female depression1_item1 4
15 29 female depression1_item2 5
15 29 female depression1_item3 7
15 29 female depression1_item4 5
15 29 female depression1_item5 3
15 29 female depression1_item6 4
15 29 female depression1_item7 3
15 29 female depression1_item8 3
15 29 female depression1_item9 6
15 29 female depression1_item10 3
15 29 female depression2_item1 4
15 29 female depression2_item2 1
15 29 female depression2_item3 2
15 29 female depression2_item4 6
15 29 female depression2_item5 2
15 29 female depression2_item6 6
15 29 female depression2_item7 5
16 35 female depression1_item1 2
16 35 female depression1_item2 2
16 35 female depression1_item3 5
16 35 female depression1_item4 5
16 35 female depression1_item5 1
16 35 female depression1_item6 4
16 35 female depression1_item7 3
16 35 female depression1_item8 3
16 35 female depression1_item9 5
16 35 female depression1_item10 2
16 35 female depression2_item1 6
16 35 female depression2_item2 2
16 35 female depression2_item3 3
16 35 female depression2_item4 6
16 35 female depression2_item5 4
16 35 female depression2_item6 5
16 35 female depression2_item7 3
17 24 male depression1_item1 6
17 24 male depression1_item2 4
17 24 male depression1_item3 1
17 24 male depression1_item4 7
17 24 male depression1_item5 5
17 24 male depression1_item6 5
17 24 male depression1_item7 2
17 24 male depression1_item8 4
17 24 male depression1_item9 4
17 24 male depression1_item10 3
17 24 male depression2_item1 4
17 24 male depression2_item2 5
17 24 male depression2_item3 4
17 24 male depression2_item4 5
17 24 male depression2_item5 2
17 24 male depression2_item6 4
17 24 male depression2_item7 6
18 45 female depression1_item1 5
18 45 female depression1_item2 6
18 45 female depression1_item3 5
18 45 female depression1_item4 3
18 45 female depression1_item5 4
18 45 female depression1_item6 7
18 45 female depression1_item7 6
18 45 female depression1_item8 7
18 45 female depression1_item9 5
18 45 female depression1_item10 6
18 45 female depression2_item1 7
18 45 female depression2_item2 7
18 45 female depression2_item3 6
18 45 female depression2_item4 6
18 45 female depression2_item5 6
18 45 female depression2_item6 7
18 45 female depression2_item7 6
19 30 female depression1_item1 4
19 30 female depression1_item2 6
19 30 female depression1_item3 7
19 30 female depression1_item4 5
19 30 female depression1_item5 6
19 30 female depression1_item6 3
19 30 female depression1_item7 2
19 30 female depression1_item8 6
19 30 female depression1_item9 7
19 30 female depression1_item10 7
19 30 female depression2_item1 7
19 30 female depression2_item2 6
19 30 female depression2_item3 5
19 30 female depression2_item4 7
19 30 female depression2_item5 7
19 30 female depression2_item6 6
19 30 female depression2_item7 6
20 27 female depression1_item1 3
20 27 female depression1_item2 2
20 27 female depression1_item3 4
20 27 female depression1_item4 2
20 27 female depression1_item5 3
20 27 female depression1_item6 1
20 27 female depression1_item7 5
20 27 female depression1_item8 2
20 27 female depression1_item9 3
20 27 female depression1_item10 3
20 27 female depression2_item1 5
20 27 female depression2_item2 5
20 27 female depression2_item3 6
20 27 female depression2_item4 1
20 27 female depression2_item5 3
20 27 female depression2_item6 4
20 27 female depression2_item7 1
21 42 female depression1_item1 5
21 42 female depression1_item2 4
21 42 female depression1_item3 6
21 42 female depression1_item4 7
21 42 female depression1_item5 4
21 42 female depression1_item6 5
21 42 female depression1_item7 5
21 42 female depression1_item8 2
21 42 female depression1_item9 4
21 42 female depression1_item10 5
21 42 female depression2_item1 2
21 42 female depression2_item2 1
21 42 female depression2_item3 3
21 42 female depression2_item4 5
21 42 female depression2_item5 4
21 42 female depression2_item6 6
21 42 female depression2_item7 5
22 33 male depression1_item1 6
22 33 male depression1_item2 4
22 33 male depression1_item3 6
22 33 male depression1_item4 6
22 33 male depression1_item5 7
22 33 male depression1_item6 4
22 33 male depression1_item7 4
22 33 male depression1_item8 6
22 33 male depression1_item9 7
22 33 male depression1_item10 4
22 33 male depression2_item1 7
22 33 male depression2_item2 6
22 33 male depression2_item3 4
22 33 male depression2_item4 6
22 33 male depression2_item5 4
22 33 male depression2_item6 6
22 33 male depression2_item7 7
23 21 female depression1_item1 5
23 21 female depression1_item2 4
23 21 female depression1_item3 4
23 21 female depression1_item4 6
23 21 female depression1_item5 3
23 21 female depression1_item6 4
23 21 female depression1_item7 4
23 21 female depression1_item8 3
23 21 female depression1_item9 1
23 21 female depression1_item10 4
23 21 female depression2_item1 5
23 21 female depression2_item2 4
23 21 female depression2_item3 5
23 21 female depression2_item4 6
23 21 female depression2_item5 5
23 21 female depression2_item6 4
23 21 female depression2_item7 4
24 19 female depression1_item1 1
24 19 female depression1_item2 2
24 19 female depression1_item3 6
24 19 female depression1_item4 3
24 19 female depression1_item5 5
24 19 female depression1_item6 2
24 19 female depression1_item7 4
24 19 female depression1_item8 5
24 19 female depression1_item9 6
24 19 female depression1_item10 2
24 19 female depression2_item1 5
24 19 female depression2_item2 1
24 19 female depression2_item3 2
24 19 female depression2_item4 3
24 19 female depression2_item5 3
24 19 female depression2_item6 2
24 19 female depression2_item7 2
25 29 female depression1_item1 5
25 29 female depression1_item2 2
25 29 female depression1_item3 7
25 29 female depression1_item4 2
25 29 female depression1_item5 1
25 29 female depression1_item6 3
25 29 female depression1_item7 3
25 29 female depression1_item8 1
25 29 female depression1_item9 3
25 29 female depression1_item10 3
25 29 female depression2_item1 1
25 29 female depression2_item2 2
25 29 female depression2_item3 3
25 29 female depression2_item4 3
25 29 female depression2_item5 1
25 29 female depression2_item6 2
25 29 female depression2_item7 3
26 30 male depression1_item1 2
26 30 male depression1_item2 4
26 30 male depression1_item3 5
26 30 male depression1_item4 6
26 30 male depression1_item5 4
26 30 male depression1_item6 5
26 30 male depression1_item7 5
26 30 male depression1_item8 4
26 30 male depression1_item9 4
26 30 male depression1_item10 3
26 30 male depression2_item1 5
26 30 male depression2_item2 6
26 30 male depression2_item3 4
26 30 male depression2_item4 2
26 30 male depression2_item5 5
26 30 male depression2_item6 4
26 30 male depression2_item7 6
27 18 female depression1_item1 5
27 18 female depression1_item2 5
27 18 female depression1_item3 3
27 18 female depression1_item4 4
27 18 female depression1_item5 6
27 18 female depression1_item6 4
27 18 female depression1_item7 3
27 18 female depression1_item8 4
27 18 female depression1_item9 3
27 18 female depression1_item10 2
27 18 female depression2_item1 3
27 18 female depression2_item2 5
27 18 female depression2_item3 4
27 18 female depression2_item4 4
27 18 female depression2_item5 6
27 18 female depression2_item6 4
27 18 female depression2_item7 7
28 45 female depression1_item1 5
28 45 female depression1_item2 6
28 45 female depression1_item3 5
28 45 female depression1_item4 4
28 45 female depression1_item5 6
28 45 female depression1_item6 3
28 45 female depression1_item7 5
28 45 female depression1_item8 4
28 45 female depression1_item9 7
28 45 female depression1_item10 5
28 45 female depression2_item1 4
28 45 female depression2_item2 5
28 45 female depression2_item3 5
28 45 female depression2_item4 7
28 45 female depression2_item5 6
28 45 female depression2_item6 7
28 45 female depression2_item7 5
29 32 female depression1_item1 3
29 32 female depression1_item2 3
29 32 female depression1_item3 4
29 32 female depression1_item4 6
29 32 female depression1_item5 4
29 32 female depression1_item6 4
29 32 female depression1_item7 5
29 32 female depression1_item8 3
29 32 female depression1_item9 5
29 32 female depression1_item10 3
29 32 female depression2_item1 4
29 32 female depression2_item2 3
29 32 female depression2_item3 2
29 32 female depression2_item4 3
29 32 female depression2_item5 5
29 32 female depression2_item6 2
29 32 female depression2_item7 2
30 37 male depression1_item1 7
30 37 male depression1_item2 4
30 37 male depression1_item3 2
30 37 male depression1_item4 5
30 37 male depression1_item5 6
30 37 male depression1_item6 7
30 37 male depression1_item7 5
30 37 male depression1_item8 3
30 37 male depression1_item9 5
30 37 male depression1_item10 4
30 37 male depression2_item1 3
30 37 male depression2_item2 5
30 37 male depression2_item3 4
30 37 male depression2_item4 4
30 37 male depression2_item5 4
30 37 male depression2_item6 4
30 37 male depression2_item7 3
31 29 female depression1_item1 6
31 29 female depression1_item2 1
31 29 female depression1_item3 2
31 29 female depression1_item4 2
31 29 female depression1_item5 4
31 29 female depression1_item6 3
31 29 female depression1_item7 6
31 29 female depression1_item8 1
31 29 female depression1_item9 2
31 29 female depression1_item10 4
31 29 female depression2_item1 5
31 29 female depression2_item2 4
31 29 female depression2_item3 4
31 29 female depression2_item4 4
31 29 female depression2_item5 4
31 29 female depression2_item6 5
31 29 female depression2_item7 4
32 32 female depression1_item1 3
32 32 female depression1_item2 4
32 32 female depression1_item3 4
32 32 female depression1_item4 1
32 32 female depression1_item5 6
32 32 female depression1_item6 3
32 32 female depression1_item7 1
32 32 female depression1_item8 4
32 32 female depression1_item9 4
32 32 female depression1_item10 4
32 32 female depression2_item1 4
32 32 female depression2_item2 3
32 32 female depression2_item3 4
32 32 female depression2_item4 2
32 32 female depression2_item5 5
32 32 female depression2_item6 4
32 32 female depression2_item7 3
33 33 female depression1_item1 3
33 33 female depression1_item2 1
33 33 female depression1_item3 4
33 33 female depression1_item4 3
33 33 female depression1_item5 5
33 33 female depression1_item6 2
33 33 female depression1_item7 2
33 33 female depression1_item8 4
33 33 female depression1_item9 3
33 33 female depression1_item10 4
33 33 female depression2_item1 5
33 33 female depression2_item2 3
33 33 female depression2_item3 3
33 33 female depression2_item4 5
33 33 female depression2_item5 1
33 33 female depression2_item6 3
33 33 female depression2_item7 3
34 34 female depression1_item1 6
34 34 female depression1_item2 2
34 34 female depression1_item3 7
34 34 female depression1_item4 5
34 34 female depression1_item5 4
34 34 female depression1_item6 5
34 34 female depression1_item7 3
34 34 female depression1_item8 6
34 34 female depression1_item9 4
34 34 female depression1_item10 3
34 34 female depression2_item1 7
34 34 female depression2_item2 4
34 34 female depression2_item3 3
34 34 female depression2_item4 4
34 34 female depression2_item5 5
34 34 female depression2_item6 5
34 34 female depression2_item7 3
35 34 male depression1_item1 5
35 34 male depression1_item2 5
35 34 male depression1_item3 3
35 34 male depression1_item4 3
35 34 male depression1_item5 3
35 34 male depression1_item6 5
35 34 male depression1_item7 5
35 34 male depression1_item8 6
35 34 male depression1_item9 3
35 34 male depression1_item10 4
35 34 male depression2_item1 1
35 34 male depression2_item2 2
35 34 male depression2_item3 1
35 34 male depression2_item4 4
35 34 male depression2_item5 3
35 34 male depression2_item6 6
35 34 male depression2_item7 3
36 18 male depression1_item1 4
36 18 male depression1_item2 6
36 18 male depression1_item3 6
36 18 male depression1_item4 6
36 18 male depression1_item5 6
36 18 male depression1_item6 4
36 18 male depression1_item7 6
36 18 male depression1_item8 4
36 18 male depression1_item9 4
36 18 male depression1_item10 5
36 18 male depression2_item1 7
36 18 male depression2_item2 4
36 18 male depression2_item3 6
36 18 male depression2_item4 7
36 18 male depression2_item5 6
36 18 male depression2_item6 4
36 18 male depression2_item7 6
37 34 male depression1_item1 3
37 34 male depression1_item2 3
37 34 male depression1_item3 4
37 34 male depression1_item4 7
37 34 male depression1_item5 5
37 34 male depression1_item6 7
37 34 male depression1_item7 3
37 34 male depression1_item8 5
37 34 male depression1_item9 6
37 34 male depression1_item10 2
37 34 male depression2_item1 4
37 34 male depression2_item2 6
37 34 male depression2_item3 5
37 34 male depression2_item4 4
37 34 male depression2_item5 5
37 34 male depression2_item6 3
37 34 male depression2_item7 5
38 27 female depression1_item1 5
38 27 female depression1_item2 2
38 27 female depression1_item3 5
38 27 female depression1_item4 4
38 27 female depression1_item5 6
38 27 female depression1_item6 5
38 27 female depression1_item7 3
38 27 female depression1_item8 6
38 27 female depression1_item9 5
38 27 female depression1_item10 6
38 27 female depression2_item1 6
38 27 female depression2_item2 3
38 27 female depression2_item3 5
38 27 female depression2_item4 6
38 27 female depression2_item5 5
38 27 female depression2_item6 5
38 27 female depression2_item7 3
39 20 female depression1_item1 7
39 20 female depression1_item2 6
39 20 female depression1_item3 7
39 20 female depression1_item4 6
39 20 female depression1_item5 5
39 20 female depression1_item6 4
39 20 female depression1_item7 2
39 20 female depression1_item8 5
39 20 female depression1_item9 5
39 20 female depression1_item10 7
39 20 female depression2_item1 7
39 20 female depression2_item2 7
39 20 female depression2_item3 7
39 20 female depression2_item4 6
39 20 female depression2_item5 6
39 20 female depression2_item6 5
39 20 female depression2_item7 7
40 34 male depression1_item1 4
40 34 male depression1_item2 4
40 34 male depression1_item3 2
40 34 male depression1_item4 5
40 34 male depression1_item5 5
40 34 male depression1_item6 3
40 34 male depression1_item7 5
40 34 male depression1_item8 3
40 34 male depression1_item9 1
40 34 male depression1_item10 5
40 34 male depression2_item1 3
40 34 male depression2_item2 3
40 34 male depression2_item3 6
40 34 male depression2_item4 4
40 34 male depression2_item5 5
40 34 male depression2_item6 5
40 34 male depression2_item7 5
41 21 female depression1_item1 4
41 21 female depression1_item2 3
41 21 female depression1_item3 3
41 21 female depression1_item4 3
41 21 female depression1_item5 4
41 21 female depression1_item6 2
41 21 female depression1_item7 5
41 21 female depression1_item8 3
41 21 female depression1_item9 3
41 21 female depression1_item10 5
41 21 female depression2_item1 5
41 21 female depression2_item2 5
41 21 female depression2_item3 5
41 21 female depression2_item4 3
41 21 female depression2_item5 6
41 21 female depression2_item6 5
41 21 female depression2_item7 3
42 42 nonbinary depression1_item1 5
42 42 nonbinary depression1_item2 6
42 42 nonbinary depression1_item3 5
42 42 nonbinary depression1_item4 4
42 42 nonbinary depression1_item5 5
42 42 nonbinary depression1_item6 5
42 42 nonbinary depression1_item7 5
42 42 nonbinary depression1_item8 3
42 42 nonbinary depression1_item9 5
42 42 nonbinary depression1_item10 3
42 42 nonbinary depression2_item1 4
42 42 nonbinary depression2_item2 3
42 42 nonbinary depression2_item3 4
42 42 nonbinary depression2_item4 3
42 42 nonbinary depression2_item5 5
42 42 nonbinary depression2_item6 3
42 42 nonbinary depression2_item7 6
43 28 female depression1_item1 3
43 28 female depression1_item2 3
43 28 female depression1_item3 4
43 28 female depression1_item4 2
43 28 female depression1_item5 3
43 28 female depression1_item6 4
43 28 female depression1_item7 3
43 28 female depression1_item8 1
43 28 female depression1_item9 3
43 28 female depression1_item10 5
43 28 female depression2_item1 1
43 28 female depression2_item2 4
43 28 female depression2_item3 5
43 28 female depression2_item4 6
43 28 female depression2_item5 4
43 28 female depression2_item6 3
43 28 female depression2_item7 3
44 24 male depression1_item1 2
44 24 male depression1_item2 5
44 24 male depression1_item3 4
44 24 male depression1_item4 7
44 24 male depression1_item5 3
44 24 male depression1_item6 7
44 24 male depression1_item7 3
44 24 male depression1_item8 3
44 24 male depression1_item9 3
44 24 male depression1_item10 3
44 24 male depression2_item1 5
44 24 male depression2_item2 5
44 24 male depression2_item3 5
44 24 male depression2_item4 6
44 24 male depression2_item5 7
44 24 male depression2_item6 6
44 24 male depression2_item7 3
45 27 female depression1_item1 5
45 27 female depression1_item2 6
45 27 female depression1_item3 7
45 27 female depression1_item4 6
45 27 female depression1_item5 6
45 27 female depression1_item6 3
45 27 female depression1_item7 7
45 27 female depression1_item8 6
45 27 female depression1_item9 4
45 27 female depression1_item10 5
45 27 female depression2_item1 4
45 27 female depression2_item2 5
45 27 female depression2_item3 6
45 27 female depression2_item4 5
45 27 female depression2_item5 7
45 27 female depression2_item6 3
45 27 female depression2_item7 2
46 33 female depression1_item1 5
46 33 female depression1_item2 3
46 33 female depression1_item3 5
46 33 female depression1_item4 3
46 33 female depression1_item5 1
46 33 female depression1_item6 7
46 33 female depression1_item7 2
46 33 female depression1_item8 3
46 33 female depression1_item9 5
46 33 female depression1_item10 5
46 33 female depression2_item1 3
46 33 female depression2_item2 3
46 33 female depression2_item3 3
46 33 female depression2_item4 5
46 33 female depression2_item5 4
46 33 female depression2_item6 1
46 33 female depression2_item7 5
47 24 male depression1_item1 6
47 24 male depression1_item2 6
47 24 male depression1_item3 6
47 24 male depression1_item4 5
47 24 male depression1_item5 3
47 24 male depression1_item6 6
47 24 male depression1_item7 5
47 24 male depression1_item8 3
47 24 male depression1_item9 6
47 24 male depression1_item10 5
47 24 male depression2_item1 4
47 24 male depression2_item2 5
47 24 male depression2_item3 5
47 24 male depression2_item4 7
47 24 male depression2_item5 5
47 24 male depression2_item6 1
47 24 male depression2_item7 4
48 20 female depression1_item1 2
48 20 female depression1_item2 1
48 20 female depression1_item3 3
48 20 female depression1_item4 4
48 20 female depression1_item5 6
48 20 female depression1_item6 4
48 20 female depression1_item7 3
48 20 female depression1_item8 3
48 20 female depression1_item9 4
48 20 female depression1_item10 4
48 20 female depression2_item1 2
48 20 female depression2_item2 3
48 20 female depression2_item3 1
48 20 female depression2_item4 2
48 20 female depression2_item5 5
48 20 female depression2_item6 1
48 20 female depression2_item7 3
49 45 female depression1_item1 4
49 45 female depression1_item2 3
49 45 female depression1_item3 4
49 45 female depression1_item4 3
49 45 female depression1_item5 3
49 45 female depression1_item6 6
49 45 female depression1_item7 5
49 45 female depression1_item8 5
49 45 female depression1_item9 6
49 45 female depression1_item10 4
49 45 female depression2_item1 7
49 45 female depression2_item2 3
49 45 female depression2_item3 6
49 45 female depression2_item4 4
49 45 female depression2_item5 4
49 45 female depression2_item6 4
49 45 female depression2_item7 3
50 35 female depression1_item1 5
50 35 female depression1_item2 4
50 35 female depression1_item3 5
50 35 female depression1_item4 3
50 35 female depression1_item5 2
50 35 female depression1_item6 1
50 35 female depression1_item7 3
50 35 female depression1_item8 2
50 35 female depression1_item9 3
50 35 female depression1_item10 4
50 35 female depression2_item1 4
50 35 female depression2_item2 6
50 35 female depression2_item3 3
50 35 female depression2_item4 3
50 35 female depression2_item5 4
50 35 female depression2_item6 4
50 35 female depression2_item7 3

11.5.5 seperate()

library(tidyr)

dat_likert_long_tidy <- dat_likert_wide %>%
  pivot_longer(cols = starts_with("depression"),
               names_to = "scale_item",
               values_to = "response") %>%
  separate(scale_item, into = c("scale", "item"), sep = "_")

ggplot(dat_likert_long_tidy, aes(x = response)) +
  geom_histogram(binwidth = 1, boundary = -0.5) +
  theme_linedraw() +
  facet_grid(item ~ scale)

11.6 Practice mutate()

The above plot does not order the items correctly (item1, item10, item2, etc).

Use mutate() to remove ‘depression’ and ‘item’ from the column contents and plot it again.

11.6.1 More advanced pivot_longer()

Separation can be done inside pivots.

dat_likert_long_tidy3 <- dat_likert_wide %>%
  pivot_longer(cols = starts_with("depression"),
               names_to = c("scale", "scale_num", "item"),
               names_pattern = "(depression)(\\d+)_item(\\d+)",
               names_transform = list(item = as.integer),
               values_to = "response")

ggplot(dat_likert_long_tidy3, aes(x = response)) +
  geom_histogram(binwidth = 1, boundary = -0.5) +
  theme_linedraw() +
  facet_grid(item ~ scale_num)

dat_meta <- readr::read_csv("../data/processed/dat_meta.csv") |>
  select(-comparison, -score_range, -min, -max)

dat_meta
study mean_trt sd_trt n_trt mean_ctrl sd_ctrl n_ctrl
Ahmadi, 2019 41.58 10.21 6 63.16 12.95 6
Anker,2009 26.35 10.02 206 21.69 8.69 204
Aubin,2009 8.00 4.00 24 7.20 4.40 20
Baucom, 1986 274.75 23.02 8 275.00 16.34 8
Beach,1992 8.40 6.22 15 20.47 10.68 14
Cohen,2010 20.34 13.48 16 25.28 13.86 14
Couper,2015 11.18 3.33 29 9.24 3.72 32
Denton,2012 3.50 1.90 4 16.90 17.00 9
Lee,2014 0.31 0.34 16 0.88 0.49 13
Manne,2019 (a) 4.84 4.23 78 3.82 0.45 70
Manne,2019 (b) 3.14 3.88 78 3.82 3.76 70
Mclean,2012 15.00 6.40 22 12.94 7.60 18
Monson,2012 12.16 13.24 16 20.32 12.61 19
Najafi,2015 31.67 2.26 15 16.90 3.35 15
Nicolaisen,2017 20.00 16.10 88 21.60 16.00 77
Robertson,2016 4.06 3.42 18 5.72 4.11 18
Ussher, 2017 (a) 7.78 3.25 19 9.31 5.48 21
Ussher,2017 (b) 5.84 2.93 19 9.31 5.48 21
Gremore,2021 19.10 9.70 20 13.50 9.90 20
Forouzani, 2024 39.24 5.32 16 29.68 4.78 16
Pasha, 2024 65.66 4.63 15 25.20 5.91 15
Wang, 2023 4.00 2.10 45 5.50 1.80 43
dat_meta |>
  pivot_longer(
    cols = c(mean_trt, sd_trt, n_trt, mean_ctrl, sd_ctrl, n_ctrl),
    names_to = c(".value", "condition"),
    names_pattern = "(mean|sd|n)_(trt|ctrl)"
  )
study condition mean sd n
Ahmadi, 2019 trt 41.58 10.21 6
Ahmadi, 2019 ctrl 63.16 12.95 6
Anker,2009 trt 26.35 10.02 206
Anker,2009 ctrl 21.69 8.69 204
Aubin,2009 trt 8.00 4.00 24
Aubin,2009 ctrl 7.20 4.40 20
Baucom, 1986 trt 274.75 23.02 8
Baucom, 1986 ctrl 275.00 16.34 8
Beach,1992 trt 8.40 6.22 15
Beach,1992 ctrl 20.47 10.68 14
Cohen,2010 trt 20.34 13.48 16
Cohen,2010 ctrl 25.28 13.86 14
Couper,2015 trt 11.18 3.33 29
Couper,2015 ctrl 9.24 3.72 32
Denton,2012 trt 3.50 1.90 4
Denton,2012 ctrl 16.90 17.00 9
Lee,2014 trt 0.31 0.34 16
Lee,2014 ctrl 0.88 0.49 13
Manne,2019 (a) trt 4.84 4.23 78
Manne,2019 (a) ctrl 3.82 0.45 70
Manne,2019 (b) trt 3.14 3.88 78
Manne,2019 (b) ctrl 3.82 3.76 70
Mclean,2012 trt 15.00 6.40 22
Mclean,2012 ctrl 12.94 7.60 18
Monson,2012 trt 12.16 13.24 16
Monson,2012 ctrl 20.32 12.61 19
Najafi,2015 trt 31.67 2.26 15
Najafi,2015 ctrl 16.90 3.35 15
Nicolaisen,2017 trt 20.00 16.10 88
Nicolaisen,2017 ctrl 21.60 16.00 77
Robertson,2016 trt 4.06 3.42 18
Robertson,2016 ctrl 5.72 4.11 18
Ussher, 2017 (a) trt 7.78 3.25 19
Ussher, 2017 (a) ctrl 9.31 5.48 21
Ussher,2017 (b) trt 5.84 2.93 19
Ussher,2017 (b) ctrl 9.31 5.48 21
Gremore,2021 trt 19.10 9.70 20
Gremore,2021 ctrl 13.50 9.90 20
Forouzani, 2024 trt 39.24 5.32 16
Forouzani, 2024 ctrl 29.68 4.78 16
Pasha, 2024 trt 65.66 4.63 15
Pasha, 2024 ctrl 25.20 5.91 15
Wang, 2023 trt 4.00 2.10 45
Wang, 2023 ctrl 5.50 1.80 43
dat_meta_trt <- dat_meta |>
  select(study, mean = mean_trt, sd = sd_trt, n = n_trt) |>
  mutate(condition = "trt")

dat_meta_ctrl <- dat_meta |>
  select(study, mean = mean_ctrl, sd = sd_ctrl, n = n_ctrl) |>
  mutate(condition = "ctrl")

dat_binded <- bind_rows(
  dat_meta_trt,
  dat_meta_ctrl
) |>
  arrange(study)

dat_binded |>
  count(study, name = "conditions_per_study") |>
  count(conditions_per_study) |>
  arrange(desc(n))
conditions_per_study n
2 22
check1 <- dat_binded |>
  group_by(study) |>
  summarize(conditions_per_study = n()) |>
  mutate(check = conditions_per_study == 2) |>
  summarize(all_ok = mean(check)) |>
  pull(all_ok)

  #summarize(check = mean(conditions_per_study == 2))

full_join(
  dat_meta_trt,
  dat_meta_ctrl,
  by = c("study", "mean", "sd", "n", "condition")
)
study mean sd n condition
Ahmadi, 2019 41.58 10.21 6 trt
Anker,2009 26.35 10.02 206 trt
Aubin,2009 8.00 4.00 24 trt
Baucom, 1986 274.75 23.02 8 trt
Beach,1992 8.40 6.22 15 trt
Cohen,2010 20.34 13.48 16 trt
Couper,2015 11.18 3.33 29 trt
Denton,2012 3.50 1.90 4 trt
Lee,2014 0.31 0.34 16 trt
Manne,2019 (a) 4.84 4.23 78 trt
Manne,2019 (b) 3.14 3.88 78 trt
Mclean,2012 15.00 6.40 22 trt
Monson,2012 12.16 13.24 16 trt
Najafi,2015 31.67 2.26 15 trt
Nicolaisen,2017 20.00 16.10 88 trt
Robertson,2016 4.06 3.42 18 trt
Ussher, 2017 (a) 7.78 3.25 19 trt
Ussher,2017 (b) 5.84 2.93 19 trt
Gremore,2021 19.10 9.70 20 trt
Forouzani, 2024 39.24 5.32 16 trt
Pasha, 2024 65.66 4.63 15 trt
Wang, 2023 4.00 2.10 45 trt
Ahmadi, 2019 63.16 12.95 6 ctrl
Anker,2009 21.69 8.69 204 ctrl
Aubin,2009 7.20 4.40 20 ctrl
Baucom, 1986 275.00 16.34 8 ctrl
Beach,1992 20.47 10.68 14 ctrl
Cohen,2010 25.28 13.86 14 ctrl
Couper,2015 9.24 3.72 32 ctrl
Denton,2012 16.90 17.00 9 ctrl
Lee,2014 0.88 0.49 13 ctrl
Manne,2019 (a) 3.82 0.45 70 ctrl
Manne,2019 (b) 3.82 3.76 70 ctrl
Mclean,2012 12.94 7.60 18 ctrl
Monson,2012 20.32 12.61 19 ctrl
Najafi,2015 16.90 3.35 15 ctrl
Nicolaisen,2017 21.60 16.00 77 ctrl
Robertson,2016 5.72 4.11 18 ctrl
Ussher, 2017 (a) 9.31 5.48 21 ctrl
Ussher,2017 (b) 9.31 5.48 21 ctrl
Gremore,2021 13.50 9.90 20 ctrl
Forouzani, 2024 29.68 4.78 16 ctrl
Pasha, 2024 25.20 5.91 15 ctrl
Wang, 2023 5.50 1.80 43 ctrl

Do all studies have 2 conditions? TRUE

11.6.2 Practice pivot_longer() and other functions to calculate sum scores

Calculate the mean and SD of each item. Do not repeat your code: use pivot_longer and other functions.

dput(colnames(dat_likert_wide))
c("id", "age", "gender", "depression1_item1", "depression1_item2", 
"depression1_item3", "depression1_item4", "depression1_item5", 
"depression1_item6", "depression1_item7", "depression1_item8", 
"depression1_item9", "depression1_item10", "depression2_item1", 
"depression2_item2", "depression2_item3", "depression2_item4", 
"depression2_item5", "depression2_item6", "depression2_item7"
)
dat_likert_wide %>%
summarize(
mean_depression1_item1 = mean(depression1_item1),
mean_depression1_item2 = mean(depression1_item2),
mean_depression1_item3 = mean(depression1_item3),
mean_depression1_item4 = mean(depression1_item4),
mean_depression1_item5 = mean(depression1_item5),
mean_depression1_item6 = mean(depression1_item6),
mean_depression1_item7 = mean(depression1_item7),
mean_depression1_item8 = mean(depression1_item8),
mean_depression1_item9 = mean(depression1_item9),
mean_depression1_item10 = mean(depression1_item10),
mean_depression2_item1 = mean(depression2_item1),
mean_depression2_item2 = mean(depression2_item2),
mean_depression2_item3 = mean(depression2_item3),
mean_depression2_item4 = mean(depression2_item4),
mean_depression2_item5 = mean(depression2_item5),
mean_depression2_item6 = mean(depression2_item6),
mean_depression2_item7 = mean(depression2_item7),

sd_depression1_item1 = sd(depression1_item1),
sd_depression1_item2 = sd(depression1_item2),
sd_depression1_item3 = sd(depression1_item3),
sd_depression1_item4 = sd(depression1_item4),
sd_depression1_item5 = sd(depression1_item5),
sd_depression1_item6 = sd(depression1_item6),
sd_depression1_item7 = sd(depression1_item7),
sd_depression1_item8 = sd(depression1_item8),
sd_depression1_item9 = sd(depression1_item9),
sd_depression1_item10 =sd(depression1_item10),
sd_depression2_item1 = sd(depression2_item1),
sd_depression2_item2 = sd(depression2_item2),
sd_depression2_item3 = sd(depression2_item3),
sd_depression2_item4 = sd(depression2_item4),
sd_depression2_item5 = sd(depression2_item5),
sd_depression2_item6 = sd(depression2_item6),
sd_depression2_item7 = sd(depression2_item7)
)
mean_depression1_item1 mean_depression1_item2 mean_depression1_item3 mean_depression1_item4 mean_depression1_item5 mean_depression1_item6 mean_depression1_item7 mean_depression1_item8 mean_depression1_item9 mean_depression1_item10 mean_depression2_item1 mean_depression2_item2 mean_depression2_item3 mean_depression2_item4 mean_depression2_item5 mean_depression2_item6 mean_depression2_item7 sd_depression1_item1 sd_depression1_item2 sd_depression1_item3 sd_depression1_item4 sd_depression1_item5 sd_depression1_item6 sd_depression1_item7 sd_depression1_item8 sd_depression1_item9 sd_depression1_item10 sd_depression2_item1 sd_depression2_item2 sd_depression2_item3 sd_depression2_item4 sd_depression2_item5 sd_depression2_item6 sd_depression2_item7
4.04 3.92 4.24 4.2 4 3.98 3.74 3.84 4 3.98 4.28 4.02 4 4.32 4.34 4 3.88 1.511318 1.523155 1.72094 1.653691 1.564922 1.696214 1.454199 1.530106 1.577909 1.33233 1.807468 1.62242 1.470804 1.659112 1.585779 1.726149 1.493387
dat_likert_wide %>%
  pivot_longer(cols = starts_with("depression"),
               names_to = c("scale", "scale_num", "item"),
               names_pattern = "(depression)(\\d+)_item(\\d+)",
               names_transform = list(item = as.integer),
               values_to = "response") %>%
  group_by(scale, item) |>
summarize(mean = mean(response),
sd = sd(response))
scale item mean sd
depression 1 4.16 1.661933
depression 2 3.97 1.566409
depression 3 4.12 1.597220
depression 4 4.26 1.649120
depression 5 4.17 1.576693
depression 6 3.99 1.702612
depression 7 3.81 1.468147
depression 8 3.84 1.530106
depression 9 4.00 1.577909
depression 10 3.98 1.332330

Now calculate:

  1. Each participant’s mean score on each scale - without using item1+item2+item3 etc; use a pivot first.
  2. The sample’s mean and SD on each scale
  3. Plot participants’ mean-scores on each scale
# dat_likert_long_meanscored <- dat_likert_wide



# ggplot(dat_likert_long_meanscored, aes(x = meanscore)) +
#   geom_histogram(binwidth = 1, boundary = -0.5) +
#   theme_linedraw() +
#   facet_wrap(~ scale)

11.7 pivot_wider()

pivot_wider is the opposite to pivot_longer. Note that it requires an id column(s) to know which rows below to the same participants.

# built in dataset, long format
cms_patient_experience
org_pac_id org_nm measure_cd measure_title prf_rate
0446157747 USC CARE MEDICAL GROUP INC CAHPS_GRP_1 CAHPS for MIPS SSM: Getting Timely Care, Appointments, and Information 63
0446157747 USC CARE MEDICAL GROUP INC CAHPS_GRP_2 CAHPS for MIPS SSM: How Well Providers Communicate 87
0446157747 USC CARE MEDICAL GROUP INC CAHPS_GRP_3 CAHPS for MIPS SSM: Patient’s Rating of Provider 86
0446157747 USC CARE MEDICAL GROUP INC CAHPS_GRP_5 CAHPS for MIPS SSM: Health Promotion and Education 57
0446157747 USC CARE MEDICAL GROUP INC CAHPS_GRP_8 CAHPS for MIPS SSM: Courteous and Helpful Office Staff 85
0446157747 USC CARE MEDICAL GROUP INC CAHPS_GRP_12 CAHPS for MIPS SSM: Stewardship of Patient Resources 24
0446162697 ASSOCIATION OF UNIVERSITY PHYSICIANS CAHPS_GRP_1 CAHPS for MIPS SSM: Getting Timely Care, Appointments, and Information 59
0446162697 ASSOCIATION OF UNIVERSITY PHYSICIANS CAHPS_GRP_2 CAHPS for MIPS SSM: How Well Providers Communicate 85
0446162697 ASSOCIATION OF UNIVERSITY PHYSICIANS CAHPS_GRP_3 CAHPS for MIPS SSM: Patient’s Rating of Provider 83
0446162697 ASSOCIATION OF UNIVERSITY PHYSICIANS CAHPS_GRP_5 CAHPS for MIPS SSM: Health Promotion and Education 63
0446162697 ASSOCIATION OF UNIVERSITY PHYSICIANS CAHPS_GRP_8 CAHPS for MIPS SSM: Courteous and Helpful Office Staff 88
0446162697 ASSOCIATION OF UNIVERSITY PHYSICIANS CAHPS_GRP_12 CAHPS for MIPS SSM: Stewardship of Patient Resources 22
0547164295 BEAVER MEDICAL GROUP PC CAHPS_GRP_1 CAHPS for MIPS SSM: Getting Timely Care, Appointments, and Information 49
0547164295 BEAVER MEDICAL GROUP PC CAHPS_GRP_2 CAHPS for MIPS SSM: How Well Providers Communicate NA
0547164295 BEAVER MEDICAL GROUP PC CAHPS_GRP_3 CAHPS for MIPS SSM: Patient’s Rating of Provider 75
0547164295 BEAVER MEDICAL GROUP PC CAHPS_GRP_5 CAHPS for MIPS SSM: Health Promotion and Education 44
0547164295 BEAVER MEDICAL GROUP PC CAHPS_GRP_8 CAHPS for MIPS SSM: Courteous and Helpful Office Staff 73
0547164295 BEAVER MEDICAL GROUP PC CAHPS_GRP_12 CAHPS for MIPS SSM: Stewardship of Patient Resources 12
0749333730 CAPE PHYSICIANS ASSOCIATES PA CAHPS_GRP_1 CAHPS for MIPS SSM: Getting Timely Care, Appointments, and Information 67
0749333730 CAPE PHYSICIANS ASSOCIATES PA CAHPS_GRP_2 CAHPS for MIPS SSM: How Well Providers Communicate 84
0749333730 CAPE PHYSICIANS ASSOCIATES PA CAHPS_GRP_3 CAHPS for MIPS SSM: Patient’s Rating of Provider 85
0749333730 CAPE PHYSICIANS ASSOCIATES PA CAHPS_GRP_5 CAHPS for MIPS SSM: Health Promotion and Education 65
0749333730 CAPE PHYSICIANS ASSOCIATES PA CAHPS_GRP_8 CAHPS for MIPS SSM: Courteous and Helpful Office Staff 82
0749333730 CAPE PHYSICIANS ASSOCIATES PA CAHPS_GRP_12 CAHPS for MIPS SSM: Stewardship of Patient Resources 24
0840104360 ALLIANCE PHYSICIANS INC CAHPS_GRP_1 CAHPS for MIPS SSM: Getting Timely Care, Appointments, and Information 66
0840104360 ALLIANCE PHYSICIANS INC CAHPS_GRP_2 CAHPS for MIPS SSM: How Well Providers Communicate 87
0840104360 ALLIANCE PHYSICIANS INC CAHPS_GRP_3 CAHPS for MIPS SSM: Patient’s Rating of Provider 87
0840104360 ALLIANCE PHYSICIANS INC CAHPS_GRP_5 CAHPS for MIPS SSM: Health Promotion and Education 64
0840104360 ALLIANCE PHYSICIANS INC CAHPS_GRP_8 CAHPS for MIPS SSM: Courteous and Helpful Office Staff 87
0840104360 ALLIANCE PHYSICIANS INC CAHPS_GRP_12 CAHPS for MIPS SSM: Stewardship of Patient Resources 28
0840109864 REX HOSPITAL INC CAHPS_GRP_1 CAHPS for MIPS SSM: Getting Timely Care, Appointments, and Information 73
0840109864 REX HOSPITAL INC CAHPS_GRP_2 CAHPS for MIPS SSM: How Well Providers Communicate 87
0840109864 REX HOSPITAL INC CAHPS_GRP_3 CAHPS for MIPS SSM: Patient’s Rating of Provider 84
0840109864 REX HOSPITAL INC CAHPS_GRP_5 CAHPS for MIPS SSM: Health Promotion and Education 67
0840109864 REX HOSPITAL INC CAHPS_GRP_8 CAHPS for MIPS SSM: Courteous and Helpful Office Staff 91
0840109864 REX HOSPITAL INC CAHPS_GRP_12 CAHPS for MIPS SSM: Stewardship of Patient Resources 30
0840513552 SCL HEALTH MEDICAL GROUP DENVER LLC CAHPS_GRP_1 CAHPS for MIPS SSM: Getting Timely Care, Appointments, and Information 58
0840513552 SCL HEALTH MEDICAL GROUP DENVER LLC CAHPS_GRP_2 CAHPS for MIPS SSM: How Well Providers Communicate 83
0840513552 SCL HEALTH MEDICAL GROUP DENVER LLC CAHPS_GRP_3 CAHPS for MIPS SSM: Patient’s Rating of Provider 76
0840513552 SCL HEALTH MEDICAL GROUP DENVER LLC CAHPS_GRP_5 CAHPS for MIPS SSM: Health Promotion and Education 58
0840513552 SCL HEALTH MEDICAL GROUP DENVER LLC CAHPS_GRP_8 CAHPS for MIPS SSM: Courteous and Helpful Office Staff 78
0840513552 SCL HEALTH MEDICAL GROUP DENVER LLC CAHPS_GRP_12 CAHPS for MIPS SSM: Stewardship of Patient Resources 26
0941545784 GRITMAN MEDICAL CENTER INC CAHPS_GRP_1 CAHPS for MIPS SSM: Getting Timely Care, Appointments, and Information 46
0941545784 GRITMAN MEDICAL CENTER INC CAHPS_GRP_2 CAHPS for MIPS SSM: How Well Providers Communicate 86
0941545784 GRITMAN MEDICAL CENTER INC CAHPS_GRP_3 CAHPS for MIPS SSM: Patient’s Rating of Provider 81
0941545784 GRITMAN MEDICAL CENTER INC CAHPS_GRP_5 CAHPS for MIPS SSM: Health Promotion and Education 54
0941545784 GRITMAN MEDICAL CENTER INC CAHPS_GRP_8 CAHPS for MIPS SSM: Courteous and Helpful Office Staff NA
0941545784 GRITMAN MEDICAL CENTER INC CAHPS_GRP_12 CAHPS for MIPS SSM: Stewardship of Patient Resources 25
1052612785 COMMUNITY MEDICAL GROUP LLC CAHPS_GRP_1 CAHPS for MIPS SSM: Getting Timely Care, Appointments, and Information 65
1052612785 COMMUNITY MEDICAL GROUP LLC CAHPS_GRP_2 CAHPS for MIPS SSM: How Well Providers Communicate 84
1052612785 COMMUNITY MEDICAL GROUP LLC CAHPS_GRP_3 CAHPS for MIPS SSM: Patient’s Rating of Provider 80
1052612785 COMMUNITY MEDICAL GROUP LLC CAHPS_GRP_5 CAHPS for MIPS SSM: Health Promotion and Education 58
1052612785 COMMUNITY MEDICAL GROUP LLC CAHPS_GRP_8 CAHPS for MIPS SSM: Courteous and Helpful Office Staff 87
1052612785 COMMUNITY MEDICAL GROUP LLC CAHPS_GRP_12 CAHPS for MIPS SSM: Stewardship of Patient Resources 29
1254237779 OUR LADY OF LOURDES MEMORIAL HOSPITAL, INC CAHPS_GRP_1 CAHPS for MIPS SSM: Getting Timely Care, Appointments, and Information 61
1254237779 OUR LADY OF LOURDES MEMORIAL HOSPITAL, INC CAHPS_GRP_2 CAHPS for MIPS SSM: How Well Providers Communicate NA
1254237779 OUR LADY OF LOURDES MEMORIAL HOSPITAL, INC CAHPS_GRP_3 CAHPS for MIPS SSM: Patient’s Rating of Provider NA
1254237779 OUR LADY OF LOURDES MEMORIAL HOSPITAL, INC CAHPS_GRP_5 CAHPS for MIPS SSM: Health Promotion and Education 65
1254237779 OUR LADY OF LOURDES MEMORIAL HOSPITAL, INC CAHPS_GRP_8 CAHPS for MIPS SSM: Courteous and Helpful Office Staff NA
1254237779 OUR LADY OF LOURDES MEMORIAL HOSPITAL, INC CAHPS_GRP_12 CAHPS for MIPS SSM: Stewardship of Patient Resources 17
1557267069 ST MARYS HOSPITAL AND MEDICAL CENTER INC CAHPS_GRP_1 CAHPS for MIPS SSM: Getting Timely Care, Appointments, and Information NA
1557267069 ST MARYS HOSPITAL AND MEDICAL CENTER INC CAHPS_GRP_2 CAHPS for MIPS SSM: How Well Providers Communicate NA
1557267069 ST MARYS HOSPITAL AND MEDICAL CENTER INC CAHPS_GRP_3 CAHPS for MIPS SSM: Patient’s Rating of Provider NA
1557267069 ST MARYS HOSPITAL AND MEDICAL CENTER INC CAHPS_GRP_5 CAHPS for MIPS SSM: Health Promotion and Education NA
1557267069 ST MARYS HOSPITAL AND MEDICAL CENTER INC CAHPS_GRP_8 CAHPS for MIPS SSM: Courteous and Helpful Office Staff NA
1557267069 ST MARYS HOSPITAL AND MEDICAL CENTER INC CAHPS_GRP_12 CAHPS for MIPS SSM: Stewardship of Patient Resources NA
1759293111 ALBANY MEDICAL COLLEGE CAHPS_GRP_1 CAHPS for MIPS SSM: Getting Timely Care, Appointments, and Information 65
1759293111 ALBANY MEDICAL COLLEGE CAHPS_GRP_2 CAHPS for MIPS SSM: How Well Providers Communicate 86
1759293111 ALBANY MEDICAL COLLEGE CAHPS_GRP_3 CAHPS for MIPS SSM: Patient’s Rating of Provider 81
1759293111 ALBANY MEDICAL COLLEGE CAHPS_GRP_5 CAHPS for MIPS SSM: Health Promotion and Education 62
1759293111 ALBANY MEDICAL COLLEGE CAHPS_GRP_8 CAHPS for MIPS SSM: Courteous and Helpful Office Staff 76
1759293111 ALBANY MEDICAL COLLEGE CAHPS_GRP_12 CAHPS for MIPS SSM: Stewardship of Patient Resources 17
1759293954 GROUP HEALTH PLAN INC CAHPS_GRP_1 CAHPS for MIPS SSM: Getting Timely Care, Appointments, and Information 60
1759293954 GROUP HEALTH PLAN INC CAHPS_GRP_2 CAHPS for MIPS SSM: How Well Providers Communicate 89
1759293954 GROUP HEALTH PLAN INC CAHPS_GRP_3 CAHPS for MIPS SSM: Patient’s Rating of Provider 86
1759293954 GROUP HEALTH PLAN INC CAHPS_GRP_5 CAHPS for MIPS SSM: Health Promotion and Education 58
1759293954 GROUP HEALTH PLAN INC CAHPS_GRP_8 CAHPS for MIPS SSM: Courteous and Helpful Office Staff 88
1759293954 GROUP HEALTH PLAN INC CAHPS_GRP_12 CAHPS for MIPS SSM: Stewardship of Patient Resources 13
1759392079 OHH PHYSICIANS LLC CAHPS_GRP_1 CAHPS for MIPS SSM: Getting Timely Care, Appointments, and Information 75
1759392079 OHH PHYSICIANS LLC CAHPS_GRP_2 CAHPS for MIPS SSM: How Well Providers Communicate NA
1759392079 OHH PHYSICIANS LLC CAHPS_GRP_3 CAHPS for MIPS SSM: Patient’s Rating of Provider 86
1759392079 OHH PHYSICIANS LLC CAHPS_GRP_5 CAHPS for MIPS SSM: Health Promotion and Education 55
1759392079 OHH PHYSICIANS LLC CAHPS_GRP_8 CAHPS for MIPS SSM: Courteous and Helpful Office Staff 89
1759392079 OHH PHYSICIANS LLC CAHPS_GRP_12 CAHPS for MIPS SSM: Stewardship of Patient Resources 19
2163417478 UNITED REGIONAL PHYSICIAN GROUP CAHPS_GRP_1 CAHPS for MIPS SSM: Getting Timely Care, Appointments, and Information 63
2163417478 UNITED REGIONAL PHYSICIAN GROUP CAHPS_GRP_2 CAHPS for MIPS SSM: How Well Providers Communicate NA
2163417478 UNITED REGIONAL PHYSICIAN GROUP CAHPS_GRP_3 CAHPS for MIPS SSM: Patient’s Rating of Provider 76
2163417478 UNITED REGIONAL PHYSICIAN GROUP CAHPS_GRP_5 CAHPS for MIPS SSM: Health Promotion and Education 60
2163417478 UNITED REGIONAL PHYSICIAN GROUP CAHPS_GRP_8 CAHPS for MIPS SSM: Courteous and Helpful Office Staff 84
2163417478 UNITED REGIONAL PHYSICIAN GROUP CAHPS_GRP_12 CAHPS for MIPS SSM: Stewardship of Patient Resources 20
2264345206 MARSHFIELD CLINIC INC CAHPS_GRP_1 CAHPS for MIPS SSM: Getting Timely Care, Appointments, and Information 56
2264345206 MARSHFIELD CLINIC INC CAHPS_GRP_2 CAHPS for MIPS SSM: How Well Providers Communicate 83
2264345206 MARSHFIELD CLINIC INC CAHPS_GRP_3 CAHPS for MIPS SSM: Patient’s Rating of Provider 80
2264345206 MARSHFIELD CLINIC INC CAHPS_GRP_5 CAHPS for MIPS SSM: Health Promotion and Education 65
2264345206 MARSHFIELD CLINIC INC CAHPS_GRP_8 CAHPS for MIPS SSM: Courteous and Helpful Office Staff 81
2264345206 MARSHFIELD CLINIC INC CAHPS_GRP_12 CAHPS for MIPS SSM: Stewardship of Patient Resources 17
2365352820 SIU PHYSICIANS AND SURGEONS INC CAHPS_GRP_1 CAHPS for MIPS SSM: Getting Timely Care, Appointments, and Information NA
2365352820 SIU PHYSICIANS AND SURGEONS INC CAHPS_GRP_2 CAHPS for MIPS SSM: How Well Providers Communicate NA
2365352820 SIU PHYSICIANS AND SURGEONS INC CAHPS_GRP_3 CAHPS for MIPS SSM: Patient’s Rating of Provider 85
2365352820 SIU PHYSICIANS AND SURGEONS INC CAHPS_GRP_5 CAHPS for MIPS SSM: Health Promotion and Education 60
2365352820 SIU PHYSICIANS AND SURGEONS INC CAHPS_GRP_8 CAHPS for MIPS SSM: Courteous and Helpful Office Staff 81
2365352820 SIU PHYSICIANS AND SURGEONS INC CAHPS_GRP_12 CAHPS for MIPS SSM: Stewardship of Patient Resources 24
2466351481 CHRISTIANA CARE HEALTH INITIATIVES CAHPS_GRP_1 CAHPS for MIPS SSM: Getting Timely Care, Appointments, and Information 68
2466351481 CHRISTIANA CARE HEALTH INITIATIVES CAHPS_GRP_2 CAHPS for MIPS SSM: How Well Providers Communicate NA
2466351481 CHRISTIANA CARE HEALTH INITIATIVES CAHPS_GRP_3 CAHPS for MIPS SSM: Patient’s Rating of Provider 86
2466351481 CHRISTIANA CARE HEALTH INITIATIVES CAHPS_GRP_5 CAHPS for MIPS SSM: Health Promotion and Education 74
2466351481 CHRISTIANA CARE HEALTH INITIATIVES CAHPS_GRP_8 CAHPS for MIPS SSM: Courteous and Helpful Office Staff NA
2466351481 CHRISTIANA CARE HEALTH INITIATIVES CAHPS_GRP_12 CAHPS for MIPS SSM: Stewardship of Patient Resources NA
2466356209 HARBOR MEDICAL ASSOCIATES INC CAHPS_GRP_1 CAHPS for MIPS SSM: Getting Timely Care, Appointments, and Information 57
2466356209 HARBOR MEDICAL ASSOCIATES INC CAHPS_GRP_2 CAHPS for MIPS SSM: How Well Providers Communicate 87
2466356209 HARBOR MEDICAL ASSOCIATES INC CAHPS_GRP_3 CAHPS for MIPS SSM: Patient’s Rating of Provider 85
2466356209 HARBOR MEDICAL ASSOCIATES INC CAHPS_GRP_5 CAHPS for MIPS SSM: Health Promotion and Education 67
2466356209 HARBOR MEDICAL ASSOCIATES INC CAHPS_GRP_8 CAHPS for MIPS SSM: Courteous and Helpful Office Staff 82
2466356209 HARBOR MEDICAL ASSOCIATES INC CAHPS_GRP_12 CAHPS for MIPS SSM: Stewardship of Patient Resources 16
2466633102 SCL HEALTH MEDICAL GROUP - BUTTE LLC CAHPS_GRP_1 CAHPS for MIPS SSM: Getting Timely Care, Appointments, and Information 66
2466633102 SCL HEALTH MEDICAL GROUP - BUTTE LLC CAHPS_GRP_2 CAHPS for MIPS SSM: How Well Providers Communicate NA
2466633102 SCL HEALTH MEDICAL GROUP - BUTTE LLC CAHPS_GRP_3 CAHPS for MIPS SSM: Patient’s Rating of Provider NA
2466633102 SCL HEALTH MEDICAL GROUP - BUTTE LLC CAHPS_GRP_5 CAHPS for MIPS SSM: Health Promotion and Education 54
2466633102 SCL HEALTH MEDICAL GROUP - BUTTE LLC CAHPS_GRP_8 CAHPS for MIPS SSM: Courteous and Helpful Office Staff 83
2466633102 SCL HEALTH MEDICAL GROUP - BUTTE LLC CAHPS_GRP_12 CAHPS for MIPS SSM: Stewardship of Patient Resources NA
2860304334 BOARD OF REGENTS OF THE UNIVERSITY OF OKLAHOMA - OU PHYSICIANS CAHPS_GRP_1 CAHPS for MIPS SSM: Getting Timely Care, Appointments, and Information 69
2860304334 BOARD OF REGENTS OF THE UNIVERSITY OF OKLAHOMA - OU PHYSICIANS CAHPS_GRP_2 CAHPS for MIPS SSM: How Well Providers Communicate 91
2860304334 BOARD OF REGENTS OF THE UNIVERSITY OF OKLAHOMA - OU PHYSICIANS CAHPS_GRP_3 CAHPS for MIPS SSM: Patient’s Rating of Provider 89
2860304334 BOARD OF REGENTS OF THE UNIVERSITY OF OKLAHOMA - OU PHYSICIANS CAHPS_GRP_5 CAHPS for MIPS SSM: Health Promotion and Education 64
2860304334 BOARD OF REGENTS OF THE UNIVERSITY OF OKLAHOMA - OU PHYSICIANS CAHPS_GRP_8 CAHPS for MIPS SSM: Courteous and Helpful Office Staff 87
2860304334 BOARD OF REGENTS OF THE UNIVERSITY OF OKLAHOMA - OU PHYSICIANS CAHPS_GRP_12 CAHPS for MIPS SSM: Stewardship of Patient Resources 27
2860392529 CAMPBELL COUNTY HOSPITAL DISTRICT CAHPS_GRP_1 CAHPS for MIPS SSM: Getting Timely Care, Appointments, and Information 64
2860392529 CAMPBELL COUNTY HOSPITAL DISTRICT CAHPS_GRP_2 CAHPS for MIPS SSM: How Well Providers Communicate 82
2860392529 CAMPBELL COUNTY HOSPITAL DISTRICT CAHPS_GRP_3 CAHPS for MIPS SSM: Patient’s Rating of Provider 80
2860392529 CAMPBELL COUNTY HOSPITAL DISTRICT CAHPS_GRP_5 CAHPS for MIPS SSM: Health Promotion and Education 56
2860392529 CAMPBELL COUNTY HOSPITAL DISTRICT CAHPS_GRP_8 CAHPS for MIPS SSM: Courteous and Helpful Office Staff 84
2860392529 CAMPBELL COUNTY HOSPITAL DISTRICT CAHPS_GRP_12 CAHPS for MIPS SSM: Stewardship of Patient Resources 30
2860396330 SUMMIT MEDICAL GROUP PLLC CAHPS_GRP_1 CAHPS for MIPS SSM: Getting Timely Care, Appointments, and Information 70
2860396330 SUMMIT MEDICAL GROUP PLLC CAHPS_GRP_2 CAHPS for MIPS SSM: How Well Providers Communicate 88
2860396330 SUMMIT MEDICAL GROUP PLLC CAHPS_GRP_3 CAHPS for MIPS SSM: Patient’s Rating of Provider 86
2860396330 SUMMIT MEDICAL GROUP PLLC CAHPS_GRP_5 CAHPS for MIPS SSM: Health Promotion and Education 64
2860396330 SUMMIT MEDICAL GROUP PLLC CAHPS_GRP_8 CAHPS for MIPS SSM: Courteous and Helpful Office Staff 84
2860396330 SUMMIT MEDICAL GROUP PLLC CAHPS_GRP_12 CAHPS for MIPS SSM: Stewardship of Patient Resources 27
3072422716 THE BOARD OF TRUSTEES OF THE UNIVERSITY OF ILLINOIS CAHPS_GRP_1 CAHPS for MIPS SSM: Getting Timely Care, Appointments, and Information NA
3072422716 THE BOARD OF TRUSTEES OF THE UNIVERSITY OF ILLINOIS CAHPS_GRP_2 CAHPS for MIPS SSM: How Well Providers Communicate NA
3072422716 THE BOARD OF TRUSTEES OF THE UNIVERSITY OF ILLINOIS CAHPS_GRP_3 CAHPS for MIPS SSM: Patient’s Rating of Provider 86
3072422716 THE BOARD OF TRUSTEES OF THE UNIVERSITY OF ILLINOIS CAHPS_GRP_5 CAHPS for MIPS SSM: Health Promotion and Education NA
3072422716 THE BOARD OF TRUSTEES OF THE UNIVERSITY OF ILLINOIS CAHPS_GRP_8 CAHPS for MIPS SSM: Courteous and Helpful Office Staff NA
3072422716 THE BOARD OF TRUSTEES OF THE UNIVERSITY OF ILLINOIS CAHPS_GRP_12 CAHPS for MIPS SSM: Stewardship of Patient Resources NA
3173436490 THE VANCOUVER CLINIC INC PS CAHPS_GRP_1 CAHPS for MIPS SSM: Getting Timely Care, Appointments, and Information 60
3173436490 THE VANCOUVER CLINIC INC PS CAHPS_GRP_2 CAHPS for MIPS SSM: How Well Providers Communicate 85
3173436490 THE VANCOUVER CLINIC INC PS CAHPS_GRP_3 CAHPS for MIPS SSM: Patient’s Rating of Provider 82
3173436490 THE VANCOUVER CLINIC INC PS CAHPS_GRP_5 CAHPS for MIPS SSM: Health Promotion and Education 57
3173436490 THE VANCOUVER CLINIC INC PS CAHPS_GRP_8 CAHPS for MIPS SSM: Courteous and Helpful Office Staff 83
3173436490 THE VANCOUVER CLINIC INC PS CAHPS_GRP_12 CAHPS for MIPS SSM: Stewardship of Patient Resources 21
3173660776 WESTCHESTER MEDICAL CENTER ADVANCED PHYSICIAN SERVICES PC CAHPS_GRP_1 CAHPS for MIPS SSM: Getting Timely Care, Appointments, and Information 72
3173660776 WESTCHESTER MEDICAL CENTER ADVANCED PHYSICIAN SERVICES PC CAHPS_GRP_2 CAHPS for MIPS SSM: How Well Providers Communicate 88
3173660776 WESTCHESTER MEDICAL CENTER ADVANCED PHYSICIAN SERVICES PC CAHPS_GRP_3 CAHPS for MIPS SSM: Patient’s Rating of Provider 85
3173660776 WESTCHESTER MEDICAL CENTER ADVANCED PHYSICIAN SERVICES PC CAHPS_GRP_5 CAHPS for MIPS SSM: Health Promotion and Education 59
3173660776 WESTCHESTER MEDICAL CENTER ADVANCED PHYSICIAN SERVICES PC CAHPS_GRP_12 CAHPS for MIPS SSM: Stewardship of Patient Resources 21
3375456734 UTMB FACULTY GROUP PRACTICE CAHPS_GRP_1 CAHPS for MIPS SSM: Getting Timely Care, Appointments, and Information NA
3375456734 UTMB FACULTY GROUP PRACTICE CAHPS_GRP_2 CAHPS for MIPS SSM: How Well Providers Communicate NA
3375456734 UTMB FACULTY GROUP PRACTICE CAHPS_GRP_3 CAHPS for MIPS SSM: Patient’s Rating of Provider NA
3375456734 UTMB FACULTY GROUP PRACTICE CAHPS_GRP_5 CAHPS for MIPS SSM: Health Promotion and Education 59
3375456734 UTMB FACULTY GROUP PRACTICE CAHPS_GRP_12 CAHPS for MIPS SSM: Stewardship of Patient Resources 24
3476725599 UNIVERSITY OF LOUISVILLE PHYSICIANS, INC CAHPS_GRP_1 CAHPS for MIPS SSM: Getting Timely Care, Appointments, and Information 69
3476725599 UNIVERSITY OF LOUISVILLE PHYSICIANS, INC CAHPS_GRP_2 CAHPS for MIPS SSM: How Well Providers Communicate 90
3476725599 UNIVERSITY OF LOUISVILLE PHYSICIANS, INC CAHPS_GRP_3 CAHPS for MIPS SSM: Patient’s Rating of Provider 86
3476725599 UNIVERSITY OF LOUISVILLE PHYSICIANS, INC CAHPS_GRP_5 CAHPS for MIPS SSM: Health Promotion and Education 59
3476725599 UNIVERSITY OF LOUISVILLE PHYSICIANS, INC CAHPS_GRP_12 CAHPS for MIPS SSM: Stewardship of Patient Resources 29
3779751656 CITY OF HOPE MEDICAL FOUNDATION CAHPS_GRP_1 CAHPS for MIPS SSM: Getting Timely Care, Appointments, and Information 72
3779751656 CITY OF HOPE MEDICAL FOUNDATION CAHPS_GRP_2 CAHPS for MIPS SSM: How Well Providers Communicate 87
3779751656 CITY OF HOPE MEDICAL FOUNDATION CAHPS_GRP_3 CAHPS for MIPS SSM: Patient’s Rating of Provider 86
3779751656 CITY OF HOPE MEDICAL FOUNDATION CAHPS_GRP_5 CAHPS for MIPS SSM: Health Promotion and Education 53
3779751656 CITY OF HOPE MEDICAL FOUNDATION CAHPS_GRP_12 CAHPS for MIPS SSM: Stewardship of Patient Resources 19
3870405988 BRIGHAM AND WOMENS PHYSICIANS ORGANIZATION INC CAHPS_GRP_1 CAHPS for MIPS SSM: Getting Timely Care, Appointments, and Information 65
3870405988 BRIGHAM AND WOMENS PHYSICIANS ORGANIZATION INC CAHPS_GRP_2 CAHPS for MIPS SSM: How Well Providers Communicate 88
3870405988 BRIGHAM AND WOMENS PHYSICIANS ORGANIZATION INC CAHPS_GRP_3 CAHPS for MIPS SSM: Patient’s Rating of Provider 80
3870405988 BRIGHAM AND WOMENS PHYSICIANS ORGANIZATION INC CAHPS_GRP_5 CAHPS for MIPS SSM: Health Promotion and Education 67
3870405988 BRIGHAM AND WOMENS PHYSICIANS ORGANIZATION INC CAHPS_GRP_12 CAHPS for MIPS SSM: Stewardship of Patient Resources 18
4284538778 SUTTER BAY MEDICAL FOUNDATION CAHPS_GRP_1 CAHPS for MIPS SSM: Getting Timely Care, Appointments, and Information 65
4284538778 SUTTER BAY MEDICAL FOUNDATION CAHPS_GRP_2 CAHPS for MIPS SSM: How Well Providers Communicate 88
4284538778 SUTTER BAY MEDICAL FOUNDATION CAHPS_GRP_3 CAHPS for MIPS SSM: Patient’s Rating of Provider 86
4284538778 SUTTER BAY MEDICAL FOUNDATION CAHPS_GRP_5 CAHPS for MIPS SSM: Health Promotion and Education 57
4284538778 SUTTER BAY MEDICAL FOUNDATION CAHPS_GRP_12 CAHPS for MIPS SSM: Stewardship of Patient Resources 20
4385538735 PATIENT FIRST MARYLAND MEDICAL GROUP PLLC CAHPS_GRP_1 CAHPS for MIPS SSM: Getting Timely Care, Appointments, and Information NA
4385538735 PATIENT FIRST MARYLAND MEDICAL GROUP PLLC CAHPS_GRP_2 CAHPS for MIPS SSM: How Well Providers Communicate NA
4385538735 PATIENT FIRST MARYLAND MEDICAL GROUP PLLC CAHPS_GRP_3 CAHPS for MIPS SSM: Patient’s Rating of Provider NA
4385538735 PATIENT FIRST MARYLAND MEDICAL GROUP PLLC CAHPS_GRP_5 CAHPS for MIPS SSM: Health Promotion and Education 44
4385538735 PATIENT FIRST MARYLAND MEDICAL GROUP PLLC CAHPS_GRP_12 CAHPS for MIPS SSM: Stewardship of Patient Resources 24
4486568698 MEDICAL ASSOCIATES OF EAST AL, PC CAHPS_GRP_1 CAHPS for MIPS SSM: Getting Timely Care, Appointments, and Information NA
4486568698 MEDICAL ASSOCIATES OF EAST AL, PC CAHPS_GRP_2 CAHPS for MIPS SSM: How Well Providers Communicate NA
4486568698 MEDICAL ASSOCIATES OF EAST AL, PC CAHPS_GRP_3 CAHPS for MIPS SSM: Patient’s Rating of Provider NA
4486568698 MEDICAL ASSOCIATES OF EAST AL, PC CAHPS_GRP_5 CAHPS for MIPS SSM: Health Promotion and Education NA
4486568698 MEDICAL ASSOCIATES OF EAST AL, PC CAHPS_GRP_12 CAHPS for MIPS SSM: Stewardship of Patient Resources NA
4486646197 SJHMC PHYSICIAN SERVICES C/O DIGNITY HEALTH CAHPS_GRP_1 CAHPS for MIPS SSM: Getting Timely Care, Appointments, and Information 59
4486646197 SJHMC PHYSICIAN SERVICES C/O DIGNITY HEALTH CAHPS_GRP_2 CAHPS for MIPS SSM: How Well Providers Communicate 88
4486646197 SJHMC PHYSICIAN SERVICES C/O DIGNITY HEALTH CAHPS_GRP_3 CAHPS for MIPS SSM: Patient’s Rating of Provider 85
4486646197 SJHMC PHYSICIAN SERVICES C/O DIGNITY HEALTH CAHPS_GRP_5 CAHPS for MIPS SSM: Health Promotion and Education 68
4486646197 SJHMC PHYSICIAN SERVICES C/O DIGNITY HEALTH CAHPS_GRP_12 CAHPS for MIPS SSM: Stewardship of Patient Resources 23
4587575550 THE MARY LANNING MEMORIAL HOSPITAL ASSOCIATION CAHPS_GRP_1 CAHPS for MIPS SSM: Getting Timely Care, Appointments, and Information 68
4587575550 THE MARY LANNING MEMORIAL HOSPITAL ASSOCIATION CAHPS_GRP_2 CAHPS for MIPS SSM: How Well Providers Communicate 85
4587575550 THE MARY LANNING MEMORIAL HOSPITAL ASSOCIATION CAHPS_GRP_3 CAHPS for MIPS SSM: Patient’s Rating of Provider 79
4587575550 THE MARY LANNING MEMORIAL HOSPITAL ASSOCIATION CAHPS_GRP_5 CAHPS for MIPS SSM: Health Promotion and Education 65
4587575550 THE MARY LANNING MEMORIAL HOSPITAL ASSOCIATION CAHPS_GRP_12 CAHPS for MIPS SSM: Stewardship of Patient Resources 26
4587578042 LITTLE COMPANY OF MARY HOSPITAL OF INDIANA INC CAHPS_GRP_1 CAHPS for MIPS SSM: Getting Timely Care, Appointments, and Information 75
4587578042 LITTLE COMPANY OF MARY HOSPITAL OF INDIANA INC CAHPS_GRP_2 CAHPS for MIPS SSM: How Well Providers Communicate 90
4587578042 LITTLE COMPANY OF MARY HOSPITAL OF INDIANA INC CAHPS_GRP_3 CAHPS for MIPS SSM: Patient’s Rating of Provider 87
4587578042 LITTLE COMPANY OF MARY HOSPITAL OF INDIANA INC CAHPS_GRP_5 CAHPS for MIPS SSM: Health Promotion and Education 62
4587578042 LITTLE COMPANY OF MARY HOSPITAL OF INDIANA INC CAHPS_GRP_12 CAHPS for MIPS SSM: Stewardship of Patient Resources 33
4880590728 UNIVERSITY OF VIRGINIA PHYSICIANS GROUP CAHPS_GRP_1 CAHPS for MIPS SSM: Getting Timely Care, Appointments, and Information 63
4880590728 UNIVERSITY OF VIRGINIA PHYSICIANS GROUP CAHPS_GRP_2 CAHPS for MIPS SSM: How Well Providers Communicate 86
4880590728 UNIVERSITY OF VIRGINIA PHYSICIANS GROUP CAHPS_GRP_3 CAHPS for MIPS SSM: Patient’s Rating of Provider 81
4880590728 UNIVERSITY OF VIRGINIA PHYSICIANS GROUP CAHPS_GRP_5 CAHPS for MIPS SSM: Health Promotion and Education 61
4880590728 UNIVERSITY OF VIRGINIA PHYSICIANS GROUP CAHPS_GRP_12 CAHPS for MIPS SSM: Stewardship of Patient Resources 23
5092628479 KAUAI MEDICAL CLINIC CAHPS_GRP_1 CAHPS for MIPS SSM: Getting Timely Care, Appointments, and Information 60
5092628479 KAUAI MEDICAL CLINIC CAHPS_GRP_2 CAHPS for MIPS SSM: How Well Providers Communicate 83
5092628479 KAUAI MEDICAL CLINIC CAHPS_GRP_3 CAHPS for MIPS SSM: Patient’s Rating of Provider 80
5092628479 KAUAI MEDICAL CLINIC CAHPS_GRP_5 CAHPS for MIPS SSM: Health Promotion and Education 56
5092628479 KAUAI MEDICAL CLINIC CAHPS_GRP_12 CAHPS for MIPS SSM: Stewardship of Patient Resources 18
5193900280 PATIENT FIRST PENNSYLVANIA MEDICAL GROUP PLLC CAHPS_GRP_1 CAHPS for MIPS SSM: Getting Timely Care, Appointments, and Information NA
5193900280 PATIENT FIRST PENNSYLVANIA MEDICAL GROUP PLLC CAHPS_GRP_2 CAHPS for MIPS SSM: How Well Providers Communicate NA
5193900280 PATIENT FIRST PENNSYLVANIA MEDICAL GROUP PLLC CAHPS_GRP_3 CAHPS for MIPS SSM: Patient’s Rating of Provider 77
5193900280 PATIENT FIRST PENNSYLVANIA MEDICAL GROUP PLLC CAHPS_GRP_5 CAHPS for MIPS SSM: Health Promotion and Education NA
5193900280 PATIENT FIRST PENNSYLVANIA MEDICAL GROUP PLLC CAHPS_GRP_12 CAHPS for MIPS SSM: Stewardship of Patient Resources NA
5294644381 KALISPELL REGIONAL MEDICAL CENTER INC CAHPS_GRP_1 CAHPS for MIPS SSM: Getting Timely Care, Appointments, and Information 60
5294644381 KALISPELL REGIONAL MEDICAL CENTER INC CAHPS_GRP_2 CAHPS for MIPS SSM: How Well Providers Communicate 81
5294644381 KALISPELL REGIONAL MEDICAL CENTER INC CAHPS_GRP_3 CAHPS for MIPS SSM: Patient’s Rating of Provider 77
5294644381 KALISPELL REGIONAL MEDICAL CENTER INC CAHPS_GRP_5 CAHPS for MIPS SSM: Health Promotion and Education 56
5294644381 KALISPELL REGIONAL MEDICAL CENTER INC CAHPS_GRP_12 CAHPS for MIPS SSM: Stewardship of Patient Resources 23
5294646378 UNIVERSITY HEALTH SYSTEM,INC CAHPS_GRP_1 CAHPS for MIPS SSM: Getting Timely Care, Appointments, and Information 64
5294646378 UNIVERSITY HEALTH SYSTEM,INC CAHPS_GRP_2 CAHPS for MIPS SSM: How Well Providers Communicate 89
5294646378 UNIVERSITY HEALTH SYSTEM,INC CAHPS_GRP_3 CAHPS for MIPS SSM: Patient’s Rating of Provider 87
5294646378 UNIVERSITY HEALTH SYSTEM,INC CAHPS_GRP_5 CAHPS for MIPS SSM: Health Promotion and Education 62
5294646378 UNIVERSITY HEALTH SYSTEM,INC CAHPS_GRP_12 CAHPS for MIPS SSM: Stewardship of Patient Resources 31
5395642276 SUMMIT MEDICAL GROUP PA CAHPS_GRP_1 CAHPS for MIPS SSM: Getting Timely Care, Appointments, and Information 64
5395642276 SUMMIT MEDICAL GROUP PA CAHPS_GRP_2 CAHPS for MIPS SSM: How Well Providers Communicate 86
5395642276 SUMMIT MEDICAL GROUP PA CAHPS_GRP_3 CAHPS for MIPS SSM: Patient’s Rating of Provider 84
5395642276 SUMMIT MEDICAL GROUP PA CAHPS_GRP_5 CAHPS for MIPS SSM: Health Promotion and Education 65
5395642276 SUMMIT MEDICAL GROUP PA CAHPS_GRP_12 CAHPS for MIPS SSM: Stewardship of Patient Resources 20
5496648875 TRINITY WEST CAHPS_GRP_1 CAHPS for MIPS SSM: Getting Timely Care, Appointments, and Information 76
5496648875 TRINITY WEST CAHPS_GRP_2 CAHPS for MIPS SSM: How Well Providers Communicate 90
5496648875 TRINITY WEST CAHPS_GRP_3 CAHPS for MIPS SSM: Patient’s Rating of Provider 88
5496648875 TRINITY WEST CAHPS_GRP_5 CAHPS for MIPS SSM: Health Promotion and Education 57
5496648875 TRINITY WEST CAHPS_GRP_12 CAHPS for MIPS SSM: Stewardship of Patient Resources 37
5799694675 ST VINCENT HOSPITAL-HOSPITAL SISTERS-THIRD ORDER OF ST FRANCIS CAHPS_GRP_1 CAHPS for MIPS SSM: Getting Timely Care, Appointments, and Information 65
5799694675 ST VINCENT HOSPITAL-HOSPITAL SISTERS-THIRD ORDER OF ST FRANCIS CAHPS_GRP_2 CAHPS for MIPS SSM: How Well Providers Communicate 86
5799694675 ST VINCENT HOSPITAL-HOSPITAL SISTERS-THIRD ORDER OF ST FRANCIS CAHPS_GRP_3 CAHPS for MIPS SSM: Patient’s Rating of Provider 84
5799694675 ST VINCENT HOSPITAL-HOSPITAL SISTERS-THIRD ORDER OF ST FRANCIS CAHPS_GRP_5 CAHPS for MIPS SSM: Health Promotion and Education 59
5799694675 ST VINCENT HOSPITAL-HOSPITAL SISTERS-THIRD ORDER OF ST FRANCIS CAHPS_GRP_12 CAHPS for MIPS SSM: Stewardship of Patient Resources 22
5799698346 SWEDISHAMERICAN HOSPITAL CAHPS_GRP_1 CAHPS for MIPS SSM: Getting Timely Care, Appointments, and Information 55
5799698346 SWEDISHAMERICAN HOSPITAL CAHPS_GRP_2 CAHPS for MIPS SSM: How Well Providers Communicate 81
5799698346 SWEDISHAMERICAN HOSPITAL CAHPS_GRP_3 CAHPS for MIPS SSM: Patient’s Rating of Provider 77
5799698346 SWEDISHAMERICAN HOSPITAL CAHPS_GRP_5 CAHPS for MIPS SSM: Health Promotion and Education 65
5799698346 SWEDISHAMERICAN HOSPITAL CAHPS_GRP_12 CAHPS for MIPS SSM: Stewardship of Patient Resources 20
5890054100 PLATTE VALLEY MEDICAL GROUP LLC CAHPS_GRP_1 CAHPS for MIPS SSM: Getting Timely Care, Appointments, and Information 64
5890054100 PLATTE VALLEY MEDICAL GROUP LLC CAHPS_GRP_2 CAHPS for MIPS SSM: How Well Providers Communicate NA
5890054100 PLATTE VALLEY MEDICAL GROUP LLC CAHPS_GRP_3 CAHPS for MIPS SSM: Patient’s Rating of Provider 81
5890054100 PLATTE VALLEY MEDICAL GROUP LLC CAHPS_GRP_5 CAHPS for MIPS SSM: Health Promotion and Education 57
5890054100 PLATTE VALLEY MEDICAL GROUP LLC CAHPS_GRP_12 CAHPS for MIPS SSM: Stewardship of Patient Resources 18
5890606008 HOLZER CLINIC LLC CAHPS_GRP_1 CAHPS for MIPS SSM: Getting Timely Care, Appointments, and Information 74
5890606008 HOLZER CLINIC LLC CAHPS_GRP_2 CAHPS for MIPS SSM: How Well Providers Communicate 90
5890606008 HOLZER CLINIC LLC CAHPS_GRP_3 CAHPS for MIPS SSM: Patient’s Rating of Provider 85
5890606008 HOLZER CLINIC LLC CAHPS_GRP_5 CAHPS for MIPS SSM: Health Promotion and Education 67
5890606008 HOLZER CLINIC LLC CAHPS_GRP_12 CAHPS for MIPS SSM: Stewardship of Patient Resources 28
5890689657 EISENHOWER MEDICAL CENTER CAHPS_GRP_1 CAHPS for MIPS SSM: Getting Timely Care, Appointments, and Information 56
5890689657 EISENHOWER MEDICAL CENTER CAHPS_GRP_2 CAHPS for MIPS SSM: How Well Providers Communicate 83
5890689657 EISENHOWER MEDICAL CENTER CAHPS_GRP_3 CAHPS for MIPS SSM: Patient’s Rating of Provider 78
5890689657 EISENHOWER MEDICAL CENTER CAHPS_GRP_5 CAHPS for MIPS SSM: Health Promotion and Education 66
5890689657 EISENHOWER MEDICAL CENTER CAHPS_GRP_12 CAHPS for MIPS SSM: Stewardship of Patient Resources 20
5890689715 DUBOIS REGIONAL MEDICAL CENTER CAHPS_GRP_1 CAHPS for MIPS SSM: Getting Timely Care, Appointments, and Information 62
5890689715 DUBOIS REGIONAL MEDICAL CENTER CAHPS_GRP_2 CAHPS for MIPS SSM: How Well Providers Communicate NA
5890689715 DUBOIS REGIONAL MEDICAL CENTER CAHPS_GRP_3 CAHPS for MIPS SSM: Patient’s Rating of Provider NA
5890689715 DUBOIS REGIONAL MEDICAL CENTER CAHPS_GRP_5 CAHPS for MIPS SSM: Health Promotion and Education 66
5890689715 DUBOIS REGIONAL MEDICAL CENTER CAHPS_GRP_12 CAHPS for MIPS SSM: Stewardship of Patient Resources NA
5890691075 RAPID CITY MEDICAL CENTER LLP CAHPS_GRP_1 CAHPS for MIPS SSM: Getting Timely Care, Appointments, and Information 68
5890691075 RAPID CITY MEDICAL CENTER LLP CAHPS_GRP_2 CAHPS for MIPS SSM: How Well Providers Communicate 84
5890691075 RAPID CITY MEDICAL CENTER LLP CAHPS_GRP_3 CAHPS for MIPS SSM: Patient’s Rating of Provider 81
5890691075 RAPID CITY MEDICAL CENTER LLP CAHPS_GRP_5 CAHPS for MIPS SSM: Health Promotion and Education 53
5890691075 RAPID CITY MEDICAL CENTER LLP CAHPS_GRP_12 CAHPS for MIPS SSM: Stewardship of Patient Resources 24
5991776635 MARTIN’S POINT HEALTH CARE CAHPS_GRP_1 CAHPS for MIPS SSM: Getting Timely Care, Appointments, and Information 61
5991776635 MARTIN’S POINT HEALTH CARE CAHPS_GRP_2 CAHPS for MIPS SSM: How Well Providers Communicate 85
5991776635 MARTIN’S POINT HEALTH CARE CAHPS_GRP_3 CAHPS for MIPS SSM: Patient’s Rating of Provider 78
5991776635 MARTIN’S POINT HEALTH CARE CAHPS_GRP_5 CAHPS for MIPS SSM: Health Promotion and Education 59
5991776635 MARTIN’S POINT HEALTH CARE CAHPS_GRP_12 CAHPS for MIPS SSM: Stewardship of Patient Resources 17
6002728656 GUTHRIE MEDICAL GROUP PC CAHPS_GRP_1 CAHPS for MIPS SSM: Getting Timely Care, Appointments, and Information 70
6002728656 GUTHRIE MEDICAL GROUP PC CAHPS_GRP_2 CAHPS for MIPS SSM: How Well Providers Communicate 88
6002728656 GUTHRIE MEDICAL GROUP PC CAHPS_GRP_3 CAHPS for MIPS SSM: Patient’s Rating of Provider 82
6002728656 GUTHRIE MEDICAL GROUP PC CAHPS_GRP_5 CAHPS for MIPS SSM: Health Promotion and Education 64
6002728656 GUTHRIE MEDICAL GROUP PC CAHPS_GRP_12 CAHPS for MIPS SSM: Stewardship of Patient Resources 20
6103115183 SILICON VALLEY MEDICAL DEVELOPMENT LLC CAHPS_GRP_1 CAHPS for MIPS SSM: Getting Timely Care, Appointments, and Information 57
6103115183 SILICON VALLEY MEDICAL DEVELOPMENT LLC CAHPS_GRP_2 CAHPS for MIPS SSM: How Well Providers Communicate 87
6103115183 SILICON VALLEY MEDICAL DEVELOPMENT LLC CAHPS_GRP_3 CAHPS for MIPS SSM: Patient’s Rating of Provider 83
6103115183 SILICON VALLEY MEDICAL DEVELOPMENT LLC CAHPS_GRP_5 CAHPS for MIPS SSM: Health Promotion and Education 58
6103115183 SILICON VALLEY MEDICAL DEVELOPMENT LLC CAHPS_GRP_12 CAHPS for MIPS SSM: Stewardship of Patient Resources 22
6204740731 LICKING MEMORIAL PROFESSIONAL CORPORATION CAHPS_GRP_1 CAHPS for MIPS SSM: Getting Timely Care, Appointments, and Information 62
6204740731 LICKING MEMORIAL PROFESSIONAL CORPORATION CAHPS_GRP_2 CAHPS for MIPS SSM: How Well Providers Communicate NA
6204740731 LICKING MEMORIAL PROFESSIONAL CORPORATION CAHPS_GRP_3 CAHPS for MIPS SSM: Patient’s Rating of Provider 77
6204740731 LICKING MEMORIAL PROFESSIONAL CORPORATION CAHPS_GRP_5 CAHPS for MIPS SSM: Health Promotion and Education 53
6204740731 LICKING MEMORIAL PROFESSIONAL CORPORATION CAHPS_GRP_12 CAHPS for MIPS SSM: Stewardship of Patient Resources 24
6305759754 STRAUB CLINIC AND HOSPITAL CAHPS_GRP_1 CAHPS for MIPS SSM: Getting Timely Care, Appointments, and Information 71
6305759754 STRAUB CLINIC AND HOSPITAL CAHPS_GRP_2 CAHPS for MIPS SSM: How Well Providers Communicate 86
6305759754 STRAUB CLINIC AND HOSPITAL CAHPS_GRP_3 CAHPS for MIPS SSM: Patient’s Rating of Provider 82
6305759754 STRAUB CLINIC AND HOSPITAL CAHPS_GRP_5 CAHPS for MIPS SSM: Health Promotion and Education 57
6305759754 STRAUB CLINIC AND HOSPITAL CAHPS_GRP_12 CAHPS for MIPS SSM: Stewardship of Patient Resources 15
6305810201 NORTH COAST PROFESSIONAL COMPANY, LLC CAHPS_GRP_1 CAHPS for MIPS SSM: Getting Timely Care, Appointments, and Information 77
6305810201 NORTH COAST PROFESSIONAL COMPANY, LLC CAHPS_GRP_2 CAHPS for MIPS SSM: How Well Providers Communicate 93
6305810201 NORTH COAST PROFESSIONAL COMPANY, LLC CAHPS_GRP_3 CAHPS for MIPS SSM: Patient’s Rating of Provider 89
6305810201 NORTH COAST PROFESSIONAL COMPANY, LLC CAHPS_GRP_5 CAHPS for MIPS SSM: Health Promotion and Education 65
6305810201 NORTH COAST PROFESSIONAL COMPANY, LLC CAHPS_GRP_12 CAHPS for MIPS SSM: Stewardship of Patient Resources 32
6406752153 THE EVERETT CLINIC, PLLC CAHPS_GRP_1 CAHPS for MIPS SSM: Getting Timely Care, Appointments, and Information 62
6406752153 THE EVERETT CLINIC, PLLC CAHPS_GRP_2 CAHPS for MIPS SSM: How Well Providers Communicate 86
6406752153 THE EVERETT CLINIC, PLLC CAHPS_GRP_3 CAHPS for MIPS SSM: Patient’s Rating of Provider 79
6406752153 THE EVERETT CLINIC, PLLC CAHPS_GRP_5 CAHPS for MIPS SSM: Health Promotion and Education 57
6406752153 THE EVERETT CLINIC, PLLC CAHPS_GRP_12 CAHPS for MIPS SSM: Stewardship of Patient Resources 17
6406901941 MONTAGE MEDICAL GROUP CAHPS_GRP_1 CAHPS for MIPS SSM: Getting Timely Care, Appointments, and Information 53
6406901941 MONTAGE MEDICAL GROUP CAHPS_GRP_2 CAHPS for MIPS SSM: How Well Providers Communicate NA
6406901941 MONTAGE MEDICAL GROUP CAHPS_GRP_3 CAHPS for MIPS SSM: Patient’s Rating of Provider 70
6406901941 MONTAGE MEDICAL GROUP CAHPS_GRP_5 CAHPS for MIPS SSM: Health Promotion and Education 57
6406901941 MONTAGE MEDICAL GROUP CAHPS_GRP_12 CAHPS for MIPS SSM: Stewardship of Patient Resources 20
6709772767 HEARTLAND REGIONAL MEDICAL CENTER CAHPS_GRP_1 CAHPS for MIPS SSM: Getting Timely Care, Appointments, and Information 74
6709772767 HEARTLAND REGIONAL MEDICAL CENTER CAHPS_GRP_2 CAHPS for MIPS SSM: How Well Providers Communicate 84
6709772767 HEARTLAND REGIONAL MEDICAL CENTER CAHPS_GRP_3 CAHPS for MIPS SSM: Patient’s Rating of Provider 87
6709772767 HEARTLAND REGIONAL MEDICAL CENTER CAHPS_GRP_5 CAHPS for MIPS SSM: Health Promotion and Education 64
6709772767 HEARTLAND REGIONAL MEDICAL CENTER CAHPS_GRP_12 CAHPS for MIPS SSM: Stewardship of Patient Resources 21
6709797491 STANFORD HEALTH CARE CAHPS_GRP_1 CAHPS for MIPS SSM: Getting Timely Care, Appointments, and Information 59
6709797491 STANFORD HEALTH CARE CAHPS_GRP_2 CAHPS for MIPS SSM: How Well Providers Communicate NA
6709797491 STANFORD HEALTH CARE CAHPS_GRP_3 CAHPS for MIPS SSM: Patient’s Rating of Provider 86
6709797491 STANFORD HEALTH CARE CAHPS_GRP_5 CAHPS for MIPS SSM: Health Promotion and Education 58
6709797491 STANFORD HEALTH CARE CAHPS_GRP_12 CAHPS for MIPS SSM: Stewardship of Patient Resources 22
6901099746 STAMFORD HEALTH MEDICAL GROUP INC CAHPS_GRP_1 CAHPS for MIPS SSM: Getting Timely Care, Appointments, and Information 73
6901099746 STAMFORD HEALTH MEDICAL GROUP INC CAHPS_GRP_2 CAHPS for MIPS SSM: How Well Providers Communicate 91
6901099746 STAMFORD HEALTH MEDICAL GROUP INC CAHPS_GRP_3 CAHPS for MIPS SSM: Patient’s Rating of Provider 88
6901099746 STAMFORD HEALTH MEDICAL GROUP INC CAHPS_GRP_5 CAHPS for MIPS SSM: Health Promotion and Education 58
6901099746 STAMFORD HEALTH MEDICAL GROUP INC CAHPS_GRP_12 CAHPS for MIPS SSM: Stewardship of Patient Resources 23
6901791367 KINGMAN HEALTHCARE, INC CAHPS_GRP_1 CAHPS for MIPS SSM: Getting Timely Care, Appointments, and Information NA
6901791367 KINGMAN HEALTHCARE, INC CAHPS_GRP_2 CAHPS for MIPS SSM: How Well Providers Communicate NA
6901791367 KINGMAN HEALTHCARE, INC CAHPS_GRP_3 CAHPS for MIPS SSM: Patient’s Rating of Provider 72
6901791367 KINGMAN HEALTHCARE, INC CAHPS_GRP_5 CAHPS for MIPS SSM: Health Promotion and Education 55
6901791367 KINGMAN HEALTHCARE, INC CAHPS_GRP_12 CAHPS for MIPS SSM: Stewardship of Patient Resources 16
7012058548 SOUTHEASTERN REGIONAL PHYSICIAN SERVICES CAHPS_GRP_1 CAHPS for MIPS SSM: Getting Timely Care, Appointments, and Information 66
7012058548 SOUTHEASTERN REGIONAL PHYSICIAN SERVICES CAHPS_GRP_2 CAHPS for MIPS SSM: How Well Providers Communicate 85
7012058548 SOUTHEASTERN REGIONAL PHYSICIAN SERVICES CAHPS_GRP_3 CAHPS for MIPS SSM: Patient’s Rating of Provider 75
7012058548 SOUTHEASTERN REGIONAL PHYSICIAN SERVICES CAHPS_GRP_5 CAHPS for MIPS SSM: Health Promotion and Education 61
7012058548 SOUTHEASTERN REGIONAL PHYSICIAN SERVICES CAHPS_GRP_12 CAHPS for MIPS SSM: Stewardship of Patient Resources NA
7012808827 OVERLAKE MEDICAL CLINICS LLC CAHPS_GRP_1 CAHPS for MIPS SSM: Getting Timely Care, Appointments, and Information 66
7012808827 OVERLAKE MEDICAL CLINICS LLC CAHPS_GRP_2 CAHPS for MIPS SSM: How Well Providers Communicate 87
7012808827 OVERLAKE MEDICAL CLINICS LLC CAHPS_GRP_3 CAHPS for MIPS SSM: Patient’s Rating of Provider 84
7012808827 OVERLAKE MEDICAL CLINICS LLC CAHPS_GRP_5 CAHPS for MIPS SSM: Health Promotion and Education 63
7012808827 OVERLAKE MEDICAL CLINICS LLC CAHPS_GRP_12 CAHPS for MIPS SSM: Stewardship of Patient Resources 25
7214841436 GENESIS HEALTH SYSTEM CAHPS_GRP_1 CAHPS for MIPS SSM: Getting Timely Care, Appointments, and Information 72
7214841436 GENESIS HEALTH SYSTEM CAHPS_GRP_2 CAHPS for MIPS SSM: How Well Providers Communicate 89
7214841436 GENESIS HEALTH SYSTEM CAHPS_GRP_3 CAHPS for MIPS SSM: Patient’s Rating of Provider 86
7214841436 GENESIS HEALTH SYSTEM CAHPS_GRP_5 CAHPS for MIPS SSM: Health Promotion and Education 64
7214841436 GENESIS HEALTH SYSTEM CAHPS_GRP_12 CAHPS for MIPS SSM: Stewardship of Patient Resources 20
7214936533 BEND MEMORIAL CLINIC PC CAHPS_GRP_1 CAHPS for MIPS SSM: Getting Timely Care, Appointments, and Information 57
7214936533 BEND MEMORIAL CLINIC PC CAHPS_GRP_2 CAHPS for MIPS SSM: How Well Providers Communicate 85
7214936533 BEND MEMORIAL CLINIC PC CAHPS_GRP_3 CAHPS for MIPS SSM: Patient’s Rating of Provider 76
7214936533 BEND MEMORIAL CLINIC PC CAHPS_GRP_5 CAHPS for MIPS SSM: Health Promotion and Education 63
7214936533 BEND MEMORIAL CLINIC PC CAHPS_GRP_12 CAHPS for MIPS SSM: Stewardship of Patient Resources 25
7618270729 RMH MEDICAL GROUP LLC CAHPS_GRP_1 CAHPS for MIPS SSM: Getting Timely Care, Appointments, and Information 61
7618270729 RMH MEDICAL GROUP LLC CAHPS_GRP_2 CAHPS for MIPS SSM: How Well Providers Communicate 84
7618270729 RMH MEDICAL GROUP LLC CAHPS_GRP_3 CAHPS for MIPS SSM: Patient’s Rating of Provider 81
7618270729 RMH MEDICAL GROUP LLC CAHPS_GRP_5 CAHPS for MIPS SSM: Health Promotion and Education 57
7618270729 RMH MEDICAL GROUP LLC CAHPS_GRP_12 CAHPS for MIPS SSM: Stewardship of Patient Resources 21
7618861105 MERCY HOSPITAL AND MEDICAL CENTER CAHPS_GRP_1 CAHPS for MIPS SSM: Getting Timely Care, Appointments, and Information 61
7618861105 MERCY HOSPITAL AND MEDICAL CENTER CAHPS_GRP_2 CAHPS for MIPS SSM: How Well Providers Communicate 85
7618861105 MERCY HOSPITAL AND MEDICAL CENTER CAHPS_GRP_3 CAHPS for MIPS SSM: Patient’s Rating of Provider 76
7618861105 MERCY HOSPITAL AND MEDICAL CENTER CAHPS_GRP_5 CAHPS for MIPS SSM: Health Promotion and Education 63
7618861105 MERCY HOSPITAL AND MEDICAL CENTER CAHPS_GRP_12 CAHPS for MIPS SSM: Stewardship of Patient Resources 21
7618871799 LEXINGTON COUNTY HEALTH SERVICES DISTRICT INC CAHPS_GRP_1 CAHPS for MIPS SSM: Getting Timely Care, Appointments, and Information 73
7618871799 LEXINGTON COUNTY HEALTH SERVICES DISTRICT INC CAHPS_GRP_2 CAHPS for MIPS SSM: How Well Providers Communicate 88
7618871799 LEXINGTON COUNTY HEALTH SERVICES DISTRICT INC CAHPS_GRP_3 CAHPS for MIPS SSM: Patient’s Rating of Provider 87
7618871799 LEXINGTON COUNTY HEALTH SERVICES DISTRICT INC CAHPS_GRP_5 CAHPS for MIPS SSM: Health Promotion and Education 53
7618871799 LEXINGTON COUNTY HEALTH SERVICES DISTRICT INC CAHPS_GRP_12 CAHPS for MIPS SSM: Stewardship of Patient Resources 22
7618880097 KING COUNTY PUBLIC HOSPITAL DISTRICT NO 2 CAHPS_GRP_1 CAHPS for MIPS SSM: Getting Timely Care, Appointments, and Information 57
7618880097 KING COUNTY PUBLIC HOSPITAL DISTRICT NO 2 CAHPS_GRP_2 CAHPS for MIPS SSM: How Well Providers Communicate 89
7618880097 KING COUNTY PUBLIC HOSPITAL DISTRICT NO 2 CAHPS_GRP_3 CAHPS for MIPS SSM: Patient’s Rating of Provider 83
7618880097 KING COUNTY PUBLIC HOSPITAL DISTRICT NO 2 CAHPS_GRP_5 CAHPS for MIPS SSM: Health Promotion and Education 59
7618880097 KING COUNTY PUBLIC HOSPITAL DISTRICT NO 2 CAHPS_GRP_12 CAHPS for MIPS SSM: Stewardship of Patient Resources 19
7719876267 SIGNATURE HEALTHCARE MEDICAL GROUP INC CAHPS_GRP_1 CAHPS for MIPS SSM: Getting Timely Care, Appointments, and Information 60
7719876267 SIGNATURE HEALTHCARE MEDICAL GROUP INC CAHPS_GRP_2 CAHPS for MIPS SSM: How Well Providers Communicate 82
7719876267 SIGNATURE HEALTHCARE MEDICAL GROUP INC CAHPS_GRP_3 CAHPS for MIPS SSM: Patient’s Rating of Provider 78
7719876267 SIGNATURE HEALTHCARE MEDICAL GROUP INC CAHPS_GRP_5 CAHPS for MIPS SSM: Health Promotion and Education 63
7719876267 SIGNATURE HEALTHCARE MEDICAL GROUP INC CAHPS_GRP_12 CAHPS for MIPS SSM: Stewardship of Patient Resources 17
7911801410 PHYSICIANS REFERRAL SERVICE CAHPS_GRP_1 CAHPS for MIPS SSM: Getting Timely Care, Appointments, and Information 76
7911801410 PHYSICIANS REFERRAL SERVICE CAHPS_GRP_2 CAHPS for MIPS SSM: How Well Providers Communicate NA
7911801410 PHYSICIANS REFERRAL SERVICE CAHPS_GRP_3 CAHPS for MIPS SSM: Patient’s Rating of Provider 96
7911801410 PHYSICIANS REFERRAL SERVICE CAHPS_GRP_5 CAHPS for MIPS SSM: Health Promotion and Education NA
7911801410 PHYSICIANS REFERRAL SERVICE CAHPS_GRP_12 CAHPS for MIPS SSM: Stewardship of Patient Resources NA
7911816020 TRINITY HEALTH CAHPS_GRP_1 CAHPS for MIPS SSM: Getting Timely Care, Appointments, and Information 58
7911816020 TRINITY HEALTH CAHPS_GRP_2 CAHPS for MIPS SSM: How Well Providers Communicate 83
7911816020 TRINITY HEALTH CAHPS_GRP_3 CAHPS for MIPS SSM: Patient’s Rating of Provider 75
7911816020 TRINITY HEALTH CAHPS_GRP_5 CAHPS for MIPS SSM: Health Promotion and Education 59
7911816020 TRINITY HEALTH CAHPS_GRP_12 CAHPS for MIPS SSM: Stewardship of Patient Resources 23
8022904473 COMMUNITY CARE PHYSICIANS PC CAHPS_GRP_1 CAHPS for MIPS SSM: Getting Timely Care, Appointments, and Information 67
8022904473 COMMUNITY CARE PHYSICIANS PC CAHPS_GRP_2 CAHPS for MIPS SSM: How Well Providers Communicate 85
8022904473 COMMUNITY CARE PHYSICIANS PC CAHPS_GRP_3 CAHPS for MIPS SSM: Patient’s Rating of Provider 81
8022904473 COMMUNITY CARE PHYSICIANS PC CAHPS_GRP_5 CAHPS for MIPS SSM: Health Promotion and Education 61
8022904473 COMMUNITY CARE PHYSICIANS PC CAHPS_GRP_12 CAHPS for MIPS SSM: Stewardship of Patient Resources 18
8123200540 STERN CARDIOVASCULAR FOUNDATION, INC CAHPS_GRP_1 CAHPS for MIPS SSM: Getting Timely Care, Appointments, and Information 69
8123200540 STERN CARDIOVASCULAR FOUNDATION, INC CAHPS_GRP_2 CAHPS for MIPS SSM: How Well Providers Communicate 87
8123200540 STERN CARDIOVASCULAR FOUNDATION, INC CAHPS_GRP_3 CAHPS for MIPS SSM: Patient’s Rating of Provider 85
8123200540 STERN CARDIOVASCULAR FOUNDATION, INC CAHPS_GRP_5 CAHPS for MIPS SSM: Health Promotion and Education 54
8123200540 STERN CARDIOVASCULAR FOUNDATION, INC CAHPS_GRP_12 CAHPS for MIPS SSM: Stewardship of Patient Resources 30
8325952914 LAKELAND REGIONAL HEALTH SYSTEMS INC CAHPS_GRP_1 CAHPS for MIPS SSM: Getting Timely Care, Appointments, and Information 62
8325952914 LAKELAND REGIONAL HEALTH SYSTEMS INC CAHPS_GRP_2 CAHPS for MIPS SSM: How Well Providers Communicate 80
8325952914 LAKELAND REGIONAL HEALTH SYSTEMS INC CAHPS_GRP_3 CAHPS for MIPS SSM: Patient’s Rating of Provider 78
8325952914 LAKELAND REGIONAL HEALTH SYSTEMS INC CAHPS_GRP_5 CAHPS for MIPS SSM: Health Promotion and Education 65
8325952914 LAKELAND REGIONAL HEALTH SYSTEMS INC CAHPS_GRP_12 CAHPS for MIPS SSM: Stewardship of Patient Resources 21
8426112350 PHOEBE PHYSICIAN GROUP INC CAHPS_GRP_1 CAHPS for MIPS SSM: Getting Timely Care, Appointments, and Information 64
8426112350 PHOEBE PHYSICIAN GROUP INC CAHPS_GRP_2 CAHPS for MIPS SSM: How Well Providers Communicate NA
8426112350 PHOEBE PHYSICIAN GROUP INC CAHPS_GRP_3 CAHPS for MIPS SSM: Patient’s Rating of Provider 85
8426112350 PHOEBE PHYSICIAN GROUP INC CAHPS_GRP_5 CAHPS for MIPS SSM: Health Promotion and Education 53
8426112350 PHOEBE PHYSICIAN GROUP INC CAHPS_GRP_12 CAHPS for MIPS SSM: Stewardship of Patient Resources 16
8426113663 CHESAPEAKE REGIONAL MEDICAL GROUP CAHPS_GRP_1 CAHPS for MIPS SSM: Getting Timely Care, Appointments, and Information 69
8426113663 CHESAPEAKE REGIONAL MEDICAL GROUP CAHPS_GRP_2 CAHPS for MIPS SSM: How Well Providers Communicate 84
8426113663 CHESAPEAKE REGIONAL MEDICAL GROUP CAHPS_GRP_3 CAHPS for MIPS SSM: Patient’s Rating of Provider 82
8426113663 CHESAPEAKE REGIONAL MEDICAL GROUP CAHPS_GRP_5 CAHPS for MIPS SSM: Health Promotion and Education 64
8426113663 CHESAPEAKE REGIONAL MEDICAL GROUP CAHPS_GRP_12 CAHPS for MIPS SSM: Stewardship of Patient Resources 23
8426136797 MOUNT NITTANY MEDICAL CENTER HEALTH SERVICES INC CAHPS_GRP_1 CAHPS for MIPS SSM: Getting Timely Care, Appointments, and Information 71
8426136797 MOUNT NITTANY MEDICAL CENTER HEALTH SERVICES INC CAHPS_GRP_2 CAHPS for MIPS SSM: How Well Providers Communicate 90
8426136797 MOUNT NITTANY MEDICAL CENTER HEALTH SERVICES INC CAHPS_GRP_3 CAHPS for MIPS SSM: Patient’s Rating of Provider 88
8426136797 MOUNT NITTANY MEDICAL CENTER HEALTH SERVICES INC CAHPS_GRP_5 CAHPS for MIPS SSM: Health Promotion and Education 62
8426136797 MOUNT NITTANY MEDICAL CENTER HEALTH SERVICES INC CAHPS_GRP_12 CAHPS for MIPS SSM: Stewardship of Patient Resources 26
8426231119 VIRGINIA HOSPITAL CENTER PHYSICIAN GROUP LLC CAHPS_GRP_1 CAHPS for MIPS SSM: Getting Timely Care, Appointments, and Information 56
8426231119 VIRGINIA HOSPITAL CENTER PHYSICIAN GROUP LLC CAHPS_GRP_2 CAHPS for MIPS SSM: How Well Providers Communicate 85
8426231119 VIRGINIA HOSPITAL CENTER PHYSICIAN GROUP LLC CAHPS_GRP_3 CAHPS for MIPS SSM: Patient’s Rating of Provider 80
8426231119 VIRGINIA HOSPITAL CENTER PHYSICIAN GROUP LLC CAHPS_GRP_5 CAHPS for MIPS SSM: Health Promotion and Education 61
8426231119 VIRGINIA HOSPITAL CENTER PHYSICIAN GROUP LLC CAHPS_GRP_12 CAHPS for MIPS SSM: Stewardship of Patient Resources 16
8527044551 MICHIGAN PRIMARY CARE PARTNERS P C CAHPS_GRP_1 CAHPS for MIPS SSM: Getting Timely Care, Appointments, and Information NA
8527044551 MICHIGAN PRIMARY CARE PARTNERS P C CAHPS_GRP_2 CAHPS for MIPS SSM: How Well Providers Communicate NA
8527044551 MICHIGAN PRIMARY CARE PARTNERS P C CAHPS_GRP_3 CAHPS for MIPS SSM: Patient’s Rating of Provider NA
8527044551 MICHIGAN PRIMARY CARE PARTNERS P C CAHPS_GRP_5 CAHPS for MIPS SSM: Health Promotion and Education NA
8527044551 MICHIGAN PRIMARY CARE PARTNERS P C CAHPS_GRP_12 CAHPS for MIPS SSM: Stewardship of Patient Resources NA
8628073236 PHYSICIAN PRIMECARE, INC CAHPS_GRP_1 CAHPS for MIPS SSM: Getting Timely Care, Appointments, and Information 62
8628073236 PHYSICIAN PRIMECARE, INC CAHPS_GRP_2 CAHPS for MIPS SSM: How Well Providers Communicate 88
8628073236 PHYSICIAN PRIMECARE, INC CAHPS_GRP_3 CAHPS for MIPS SSM: Patient’s Rating of Provider 88
8628073236 PHYSICIAN PRIMECARE, INC CAHPS_GRP_5 CAHPS for MIPS SSM: Health Promotion and Education 58
8628073236 PHYSICIAN PRIMECARE, INC CAHPS_GRP_12 CAHPS for MIPS SSM: Stewardship of Patient Resources 22
8729072418 SACRED HEART HOSPITAL OF THE HOSPITAL SISTERS-3RD ORDER OF ST FRANCIS CAHPS_GRP_1 CAHPS for MIPS SSM: Getting Timely Care, Appointments, and Information 75
8729072418 SACRED HEART HOSPITAL OF THE HOSPITAL SISTERS-3RD ORDER OF ST FRANCIS CAHPS_GRP_2 CAHPS for MIPS SSM: How Well Providers Communicate 88
8729072418 SACRED HEART HOSPITAL OF THE HOSPITAL SISTERS-3RD ORDER OF ST FRANCIS CAHPS_GRP_3 CAHPS for MIPS SSM: Patient’s Rating of Provider 86
8729072418 SACRED HEART HOSPITAL OF THE HOSPITAL SISTERS-3RD ORDER OF ST FRANCIS CAHPS_GRP_5 CAHPS for MIPS SSM: Health Promotion and Education 57
8729072418 SACRED HEART HOSPITAL OF THE HOSPITAL SISTERS-3RD ORDER OF ST FRANCIS CAHPS_GRP_12 CAHPS for MIPS SSM: Stewardship of Patient Resources NA
8729139852 ALBEMARLE PHYSICIAN SERVICES- SENTARA INC CAHPS_GRP_1 CAHPS for MIPS SSM: Getting Timely Care, Appointments, and Information NA
8729139852 ALBEMARLE PHYSICIAN SERVICES- SENTARA INC CAHPS_GRP_2 CAHPS for MIPS SSM: How Well Providers Communicate NA
8729139852 ALBEMARLE PHYSICIAN SERVICES- SENTARA INC CAHPS_GRP_3 CAHPS for MIPS SSM: Patient’s Rating of Provider NA
8729139852 ALBEMARLE PHYSICIAN SERVICES- SENTARA INC CAHPS_GRP_5 CAHPS for MIPS SSM: Health Promotion and Education NA
8729139852 ALBEMARLE PHYSICIAN SERVICES- SENTARA INC CAHPS_GRP_12 CAHPS for MIPS SSM: Stewardship of Patient Resources NA
8729351077 PENN STATE HEALTH COMMUNITY MEDICAL GROUP, LLC CAHPS_GRP_1 CAHPS for MIPS SSM: Getting Timely Care, Appointments, and Information 70
8729351077 PENN STATE HEALTH COMMUNITY MEDICAL GROUP, LLC CAHPS_GRP_2 CAHPS for MIPS SSM: How Well Providers Communicate 90
8729351077 PENN STATE HEALTH COMMUNITY MEDICAL GROUP, LLC CAHPS_GRP_3 CAHPS for MIPS SSM: Patient’s Rating of Provider 87
8729351077 PENN STATE HEALTH COMMUNITY MEDICAL GROUP, LLC CAHPS_GRP_5 CAHPS for MIPS SSM: Health Promotion and Education 64
8729351077 PENN STATE HEALTH COMMUNITY MEDICAL GROUP, LLC CAHPS_GRP_12 CAHPS for MIPS SSM: Stewardship of Patient Resources 32
9032125810 OPTUMCARE NEW MEXICO, LLC CAHPS_GRP_1 CAHPS for MIPS SSM: Getting Timely Care, Appointments, and Information 51
9032125810 OPTUMCARE NEW MEXICO, LLC CAHPS_GRP_2 CAHPS for MIPS SSM: How Well Providers Communicate NA
9032125810 OPTUMCARE NEW MEXICO, LLC CAHPS_GRP_3 CAHPS for MIPS SSM: Patient’s Rating of Provider 79
9032125810 OPTUMCARE NEW MEXICO, LLC CAHPS_GRP_5 CAHPS for MIPS SSM: Health Promotion and Education 47
9032125810 OPTUMCARE NEW MEXICO, LLC CAHPS_GRP_12 CAHPS for MIPS SSM: Stewardship of Patient Resources 15
9133024334 SOUTHEAST MISSOURI HOSPITAL PHYSICIANS LLC CAHPS_GRP_1 CAHPS for MIPS SSM: Getting Timely Care, Appointments, and Information 77
9133024334 SOUTHEAST MISSOURI HOSPITAL PHYSICIANS LLC CAHPS_GRP_2 CAHPS for MIPS SSM: How Well Providers Communicate 88
9133024334 SOUTHEAST MISSOURI HOSPITAL PHYSICIANS LLC CAHPS_GRP_3 CAHPS for MIPS SSM: Patient’s Rating of Provider 84
9133024334 SOUTHEAST MISSOURI HOSPITAL PHYSICIANS LLC CAHPS_GRP_5 CAHPS for MIPS SSM: Health Promotion and Education 53
9133024334 SOUTHEAST MISSOURI HOSPITAL PHYSICIANS LLC CAHPS_GRP_12 CAHPS for MIPS SSM: Stewardship of Patient Resources 26
9133378870 NORTH OAKS PHYSICIAN GROUP, LLC CAHPS_GRP_1 CAHPS for MIPS SSM: Getting Timely Care, Appointments, and Information 69
9133378870 NORTH OAKS PHYSICIAN GROUP, LLC CAHPS_GRP_2 CAHPS for MIPS SSM: How Well Providers Communicate 89
9133378870 NORTH OAKS PHYSICIAN GROUP, LLC CAHPS_GRP_3 CAHPS for MIPS SSM: Patient’s Rating of Provider 89
9133378870 NORTH OAKS PHYSICIAN GROUP, LLC CAHPS_GRP_5 CAHPS for MIPS SSM: Health Promotion and Education 63
9133378870 NORTH OAKS PHYSICIAN GROUP, LLC CAHPS_GRP_12 CAHPS for MIPS SSM: Stewardship of Patient Resources 22
9234041708 PRESBYTERIAN HEALTHCARE SERVICES CAHPS_GRP_1 CAHPS for MIPS SSM: Getting Timely Care, Appointments, and Information NA
9234041708 PRESBYTERIAN HEALTHCARE SERVICES CAHPS_GRP_2 CAHPS for MIPS SSM: How Well Providers Communicate NA
9234041708 PRESBYTERIAN HEALTHCARE SERVICES CAHPS_GRP_3 CAHPS for MIPS SSM: Patient’s Rating of Provider NA
9234041708 PRESBYTERIAN HEALTHCARE SERVICES CAHPS_GRP_5 CAHPS for MIPS SSM: Health Promotion and Education 60
9234041708 PRESBYTERIAN HEALTHCARE SERVICES CAHPS_GRP_12 CAHPS for MIPS SSM: Stewardship of Patient Resources 16
9638491574 SCL HEALTH MEDICAL GROUP - BILLINGS LLC CAHPS_GRP_1 CAHPS for MIPS SSM: Getting Timely Care, Appointments, and Information 61
9638491574 SCL HEALTH MEDICAL GROUP - BILLINGS LLC CAHPS_GRP_2 CAHPS for MIPS SSM: How Well Providers Communicate 84
9638491574 SCL HEALTH MEDICAL GROUP - BILLINGS LLC CAHPS_GRP_3 CAHPS for MIPS SSM: Patient’s Rating of Provider 82
9638491574 SCL HEALTH MEDICAL GROUP - BILLINGS LLC CAHPS_GRP_5 CAHPS for MIPS SSM: Health Promotion and Education 67
9638491574 SCL HEALTH MEDICAL GROUP - BILLINGS LLC CAHPS_GRP_12 CAHPS for MIPS SSM: Stewardship of Patient Resources 24
9830002617 VIRGINIA MASON MEDICAL CENTER CAHPS_GRP_1 CAHPS for MIPS SSM: Getting Timely Care, Appointments, and Information 55
9830002617 VIRGINIA MASON MEDICAL CENTER CAHPS_GRP_2 CAHPS for MIPS SSM: How Well Providers Communicate 81
9830002617 VIRGINIA MASON MEDICAL CENTER CAHPS_GRP_3 CAHPS for MIPS SSM: Patient’s Rating of Provider 80
9830002617 VIRGINIA MASON MEDICAL CENTER CAHPS_GRP_5 CAHPS for MIPS SSM: Health Promotion and Education 62
9830002617 VIRGINIA MASON MEDICAL CENTER CAHPS_GRP_12 CAHPS for MIPS SSM: Stewardship of Patient Resources 20
9830008770 WASHINGTON UNIVERSITY CAHPS_GRP_1 CAHPS for MIPS SSM: Getting Timely Care, Appointments, and Information 65
9830008770 WASHINGTON UNIVERSITY CAHPS_GRP_2 CAHPS for MIPS SSM: How Well Providers Communicate NA
9830008770 WASHINGTON UNIVERSITY CAHPS_GRP_3 CAHPS for MIPS SSM: Patient’s Rating of Provider NA
9830008770 WASHINGTON UNIVERSITY CAHPS_GRP_5 CAHPS for MIPS SSM: Health Promotion and Education 61
9830008770 WASHINGTON UNIVERSITY CAHPS_GRP_12 CAHPS for MIPS SSM: Stewardship of Patient Resources 28
9830093640 COOPERATIVE HEALTHCARE SERVICES, INC. CAHPS_GRP_1 CAHPS for MIPS SSM: Getting Timely Care, Appointments, and Information 65
9830093640 COOPERATIVE HEALTHCARE SERVICES, INC. CAHPS_GRP_2 CAHPS for MIPS SSM: How Well Providers Communicate 87
9830093640 COOPERATIVE HEALTHCARE SERVICES, INC. CAHPS_GRP_3 CAHPS for MIPS SSM: Patient’s Rating of Provider 78
9830093640 COOPERATIVE HEALTHCARE SERVICES, INC. CAHPS_GRP_5 CAHPS for MIPS SSM: Health Promotion and Education 52
9830093640 COOPERATIVE HEALTHCARE SERVICES, INC. CAHPS_GRP_12 CAHPS for MIPS SSM: Stewardship of Patient Resources 25
9830094515 SUTTER VALLEY MEDICAL FOUNDATION CAHPS_GRP_1 CAHPS for MIPS SSM: Getting Timely Care, Appointments, and Information 60
9830094515 SUTTER VALLEY MEDICAL FOUNDATION CAHPS_GRP_2 CAHPS for MIPS SSM: How Well Providers Communicate NA
9830094515 SUTTER VALLEY MEDICAL FOUNDATION CAHPS_GRP_3 CAHPS for MIPS SSM: Patient’s Rating of Provider 88
9830094515 SUTTER VALLEY MEDICAL FOUNDATION CAHPS_GRP_5 CAHPS for MIPS SSM: Health Promotion and Education 55
9830094515 SUTTER VALLEY MEDICAL FOUNDATION CAHPS_GRP_12 CAHPS for MIPS SSM: Stewardship of Patient Resources 24
9931011434 PATIENT FIRST RICHMOND MEDICAL GROUP PLLC CAHPS_GRP_1 CAHPS for MIPS SSM: Getting Timely Care, Appointments, and Information 80
9931011434 PATIENT FIRST RICHMOND MEDICAL GROUP PLLC CAHPS_GRP_2 CAHPS for MIPS SSM: How Well Providers Communicate NA
9931011434 PATIENT FIRST RICHMOND MEDICAL GROUP PLLC CAHPS_GRP_3 CAHPS for MIPS SSM: Patient’s Rating of Provider NA
9931011434 PATIENT FIRST RICHMOND MEDICAL GROUP PLLC CAHPS_GRP_5 CAHPS for MIPS SSM: Health Promotion and Education 45
9931011434 PATIENT FIRST RICHMOND MEDICAL GROUP PLLC CAHPS_GRP_12 CAHPS for MIPS SSM: Stewardship of Patient Resources 19
# convert to wider, but lacks id column
cms_patient_experience |> 
  pivot_wider(
    names_from = measure_cd,
    values_from = prf_rate
  )
org_pac_id org_nm measure_title CAHPS_GRP_1 CAHPS_GRP_2 CAHPS_GRP_3 CAHPS_GRP_5 CAHPS_GRP_8 CAHPS_GRP_12
0446157747 USC CARE MEDICAL GROUP INC CAHPS for MIPS SSM: Getting Timely Care, Appointments, and Information 63 NA NA NA NA NA
0446157747 USC CARE MEDICAL GROUP INC CAHPS for MIPS SSM: How Well Providers Communicate NA 87 NA NA NA NA
0446157747 USC CARE MEDICAL GROUP INC CAHPS for MIPS SSM: Patient’s Rating of Provider NA NA 86 NA NA NA
0446157747 USC CARE MEDICAL GROUP INC CAHPS for MIPS SSM: Health Promotion and Education NA NA NA 57 NA NA
0446157747 USC CARE MEDICAL GROUP INC CAHPS for MIPS SSM: Courteous and Helpful Office Staff NA NA NA NA 85 NA
0446157747 USC CARE MEDICAL GROUP INC CAHPS for MIPS SSM: Stewardship of Patient Resources NA NA NA NA NA 24
0446162697 ASSOCIATION OF UNIVERSITY PHYSICIANS CAHPS for MIPS SSM: Getting Timely Care, Appointments, and Information 59 NA NA NA NA NA
0446162697 ASSOCIATION OF UNIVERSITY PHYSICIANS CAHPS for MIPS SSM: How Well Providers Communicate NA 85 NA NA NA NA
0446162697 ASSOCIATION OF UNIVERSITY PHYSICIANS CAHPS for MIPS SSM: Patient’s Rating of Provider NA NA 83 NA NA NA
0446162697 ASSOCIATION OF UNIVERSITY PHYSICIANS CAHPS for MIPS SSM: Health Promotion and Education NA NA NA 63 NA NA
0446162697 ASSOCIATION OF UNIVERSITY PHYSICIANS CAHPS for MIPS SSM: Courteous and Helpful Office Staff NA NA NA NA 88 NA
0446162697 ASSOCIATION OF UNIVERSITY PHYSICIANS CAHPS for MIPS SSM: Stewardship of Patient Resources NA NA NA NA NA 22
0547164295 BEAVER MEDICAL GROUP PC CAHPS for MIPS SSM: Getting Timely Care, Appointments, and Information 49 NA NA NA NA NA
0547164295 BEAVER MEDICAL GROUP PC CAHPS for MIPS SSM: How Well Providers Communicate NA NA NA NA NA NA
0547164295 BEAVER MEDICAL GROUP PC CAHPS for MIPS SSM: Patient’s Rating of Provider NA NA 75 NA NA NA
0547164295 BEAVER MEDICAL GROUP PC CAHPS for MIPS SSM: Health Promotion and Education NA NA NA 44 NA NA
0547164295 BEAVER MEDICAL GROUP PC CAHPS for MIPS SSM: Courteous and Helpful Office Staff NA NA NA NA 73 NA
0547164295 BEAVER MEDICAL GROUP PC CAHPS for MIPS SSM: Stewardship of Patient Resources NA NA NA NA NA 12
0749333730 CAPE PHYSICIANS ASSOCIATES PA CAHPS for MIPS SSM: Getting Timely Care, Appointments, and Information 67 NA NA NA NA NA
0749333730 CAPE PHYSICIANS ASSOCIATES PA CAHPS for MIPS SSM: How Well Providers Communicate NA 84 NA NA NA NA
0749333730 CAPE PHYSICIANS ASSOCIATES PA CAHPS for MIPS SSM: Patient’s Rating of Provider NA NA 85 NA NA NA
0749333730 CAPE PHYSICIANS ASSOCIATES PA CAHPS for MIPS SSM: Health Promotion and Education NA NA NA 65 NA NA
0749333730 CAPE PHYSICIANS ASSOCIATES PA CAHPS for MIPS SSM: Courteous and Helpful Office Staff NA NA NA NA 82 NA
0749333730 CAPE PHYSICIANS ASSOCIATES PA CAHPS for MIPS SSM: Stewardship of Patient Resources NA NA NA NA NA 24
0840104360 ALLIANCE PHYSICIANS INC CAHPS for MIPS SSM: Getting Timely Care, Appointments, and Information 66 NA NA NA NA NA
0840104360 ALLIANCE PHYSICIANS INC CAHPS for MIPS SSM: How Well Providers Communicate NA 87 NA NA NA NA
0840104360 ALLIANCE PHYSICIANS INC CAHPS for MIPS SSM: Patient’s Rating of Provider NA NA 87 NA NA NA
0840104360 ALLIANCE PHYSICIANS INC CAHPS for MIPS SSM: Health Promotion and Education NA NA NA 64 NA NA
0840104360 ALLIANCE PHYSICIANS INC CAHPS for MIPS SSM: Courteous and Helpful Office Staff NA NA NA NA 87 NA
0840104360 ALLIANCE PHYSICIANS INC CAHPS for MIPS SSM: Stewardship of Patient Resources NA NA NA NA NA 28
0840109864 REX HOSPITAL INC CAHPS for MIPS SSM: Getting Timely Care, Appointments, and Information 73 NA NA NA NA NA
0840109864 REX HOSPITAL INC CAHPS for MIPS SSM: How Well Providers Communicate NA 87 NA NA NA NA
0840109864 REX HOSPITAL INC CAHPS for MIPS SSM: Patient’s Rating of Provider NA NA 84 NA NA NA
0840109864 REX HOSPITAL INC CAHPS for MIPS SSM: Health Promotion and Education NA NA NA 67 NA NA
0840109864 REX HOSPITAL INC CAHPS for MIPS SSM: Courteous and Helpful Office Staff NA NA NA NA 91 NA
0840109864 REX HOSPITAL INC CAHPS for MIPS SSM: Stewardship of Patient Resources NA NA NA NA NA 30
0840513552 SCL HEALTH MEDICAL GROUP DENVER LLC CAHPS for MIPS SSM: Getting Timely Care, Appointments, and Information 58 NA NA NA NA NA
0840513552 SCL HEALTH MEDICAL GROUP DENVER LLC CAHPS for MIPS SSM: How Well Providers Communicate NA 83 NA NA NA NA
0840513552 SCL HEALTH MEDICAL GROUP DENVER LLC CAHPS for MIPS SSM: Patient’s Rating of Provider NA NA 76 NA NA NA
0840513552 SCL HEALTH MEDICAL GROUP DENVER LLC CAHPS for MIPS SSM: Health Promotion and Education NA NA NA 58 NA NA
0840513552 SCL HEALTH MEDICAL GROUP DENVER LLC CAHPS for MIPS SSM: Courteous and Helpful Office Staff NA NA NA NA 78 NA
0840513552 SCL HEALTH MEDICAL GROUP DENVER LLC CAHPS for MIPS SSM: Stewardship of Patient Resources NA NA NA NA NA 26
0941545784 GRITMAN MEDICAL CENTER INC CAHPS for MIPS SSM: Getting Timely Care, Appointments, and Information 46 NA NA NA NA NA
0941545784 GRITMAN MEDICAL CENTER INC CAHPS for MIPS SSM: How Well Providers Communicate NA 86 NA NA NA NA
0941545784 GRITMAN MEDICAL CENTER INC CAHPS for MIPS SSM: Patient’s Rating of Provider NA NA 81 NA NA NA
0941545784 GRITMAN MEDICAL CENTER INC CAHPS for MIPS SSM: Health Promotion and Education NA NA NA 54 NA NA
0941545784 GRITMAN MEDICAL CENTER INC CAHPS for MIPS SSM: Courteous and Helpful Office Staff NA NA NA NA NA NA
0941545784 GRITMAN MEDICAL CENTER INC CAHPS for MIPS SSM: Stewardship of Patient Resources NA NA NA NA NA 25
1052612785 COMMUNITY MEDICAL GROUP LLC CAHPS for MIPS SSM: Getting Timely Care, Appointments, and Information 65 NA NA NA NA NA
1052612785 COMMUNITY MEDICAL GROUP LLC CAHPS for MIPS SSM: How Well Providers Communicate NA 84 NA NA NA NA
1052612785 COMMUNITY MEDICAL GROUP LLC CAHPS for MIPS SSM: Patient’s Rating of Provider NA NA 80 NA NA NA
1052612785 COMMUNITY MEDICAL GROUP LLC CAHPS for MIPS SSM: Health Promotion and Education NA NA NA 58 NA NA
1052612785 COMMUNITY MEDICAL GROUP LLC CAHPS for MIPS SSM: Courteous and Helpful Office Staff NA NA NA NA 87 NA
1052612785 COMMUNITY MEDICAL GROUP LLC CAHPS for MIPS SSM: Stewardship of Patient Resources NA NA NA NA NA 29
1254237779 OUR LADY OF LOURDES MEMORIAL HOSPITAL, INC CAHPS for MIPS SSM: Getting Timely Care, Appointments, and Information 61 NA NA NA NA NA
1254237779 OUR LADY OF LOURDES MEMORIAL HOSPITAL, INC CAHPS for MIPS SSM: How Well Providers Communicate NA NA NA NA NA NA
1254237779 OUR LADY OF LOURDES MEMORIAL HOSPITAL, INC CAHPS for MIPS SSM: Patient’s Rating of Provider NA NA NA NA NA NA
1254237779 OUR LADY OF LOURDES MEMORIAL HOSPITAL, INC CAHPS for MIPS SSM: Health Promotion and Education NA NA NA 65 NA NA
1254237779 OUR LADY OF LOURDES MEMORIAL HOSPITAL, INC CAHPS for MIPS SSM: Courteous and Helpful Office Staff NA NA NA NA NA NA
1254237779 OUR LADY OF LOURDES MEMORIAL HOSPITAL, INC CAHPS for MIPS SSM: Stewardship of Patient Resources NA NA NA NA NA 17
1557267069 ST MARYS HOSPITAL AND MEDICAL CENTER INC CAHPS for MIPS SSM: Getting Timely Care, Appointments, and Information NA NA NA NA NA NA
1557267069 ST MARYS HOSPITAL AND MEDICAL CENTER INC CAHPS for MIPS SSM: How Well Providers Communicate NA NA NA NA NA NA
1557267069 ST MARYS HOSPITAL AND MEDICAL CENTER INC CAHPS for MIPS SSM: Patient’s Rating of Provider NA NA NA NA NA NA
1557267069 ST MARYS HOSPITAL AND MEDICAL CENTER INC CAHPS for MIPS SSM: Health Promotion and Education NA NA NA NA NA NA
1557267069 ST MARYS HOSPITAL AND MEDICAL CENTER INC CAHPS for MIPS SSM: Courteous and Helpful Office Staff NA NA NA NA NA NA
1557267069 ST MARYS HOSPITAL AND MEDICAL CENTER INC CAHPS for MIPS SSM: Stewardship of Patient Resources NA NA NA NA NA NA
1759293111 ALBANY MEDICAL COLLEGE CAHPS for MIPS SSM: Getting Timely Care, Appointments, and Information 65 NA NA NA NA NA
1759293111 ALBANY MEDICAL COLLEGE CAHPS for MIPS SSM: How Well Providers Communicate NA 86 NA NA NA NA
1759293111 ALBANY MEDICAL COLLEGE CAHPS for MIPS SSM: Patient’s Rating of Provider NA NA 81 NA NA NA
1759293111 ALBANY MEDICAL COLLEGE CAHPS for MIPS SSM: Health Promotion and Education NA NA NA 62 NA NA
1759293111 ALBANY MEDICAL COLLEGE CAHPS for MIPS SSM: Courteous and Helpful Office Staff NA NA NA NA 76 NA
1759293111 ALBANY MEDICAL COLLEGE CAHPS for MIPS SSM: Stewardship of Patient Resources NA NA NA NA NA 17
1759293954 GROUP HEALTH PLAN INC CAHPS for MIPS SSM: Getting Timely Care, Appointments, and Information 60 NA NA NA NA NA
1759293954 GROUP HEALTH PLAN INC CAHPS for MIPS SSM: How Well Providers Communicate NA 89 NA NA NA NA
1759293954 GROUP HEALTH PLAN INC CAHPS for MIPS SSM: Patient’s Rating of Provider NA NA 86 NA NA NA
1759293954 GROUP HEALTH PLAN INC CAHPS for MIPS SSM: Health Promotion and Education NA NA NA 58 NA NA
1759293954 GROUP HEALTH PLAN INC CAHPS for MIPS SSM: Courteous and Helpful Office Staff NA NA NA NA 88 NA
1759293954 GROUP HEALTH PLAN INC CAHPS for MIPS SSM: Stewardship of Patient Resources NA NA NA NA NA 13
1759392079 OHH PHYSICIANS LLC CAHPS for MIPS SSM: Getting Timely Care, Appointments, and Information 75 NA NA NA NA NA
1759392079 OHH PHYSICIANS LLC CAHPS for MIPS SSM: How Well Providers Communicate NA NA NA NA NA NA
1759392079 OHH PHYSICIANS LLC CAHPS for MIPS SSM: Patient’s Rating of Provider NA NA 86 NA NA NA
1759392079 OHH PHYSICIANS LLC CAHPS for MIPS SSM: Health Promotion and Education NA NA NA 55 NA NA
1759392079 OHH PHYSICIANS LLC CAHPS for MIPS SSM: Courteous and Helpful Office Staff NA NA NA NA 89 NA
1759392079 OHH PHYSICIANS LLC CAHPS for MIPS SSM: Stewardship of Patient Resources NA NA NA NA NA 19
2163417478 UNITED REGIONAL PHYSICIAN GROUP CAHPS for MIPS SSM: Getting Timely Care, Appointments, and Information 63 NA NA NA NA NA
2163417478 UNITED REGIONAL PHYSICIAN GROUP CAHPS for MIPS SSM: How Well Providers Communicate NA NA NA NA NA NA
2163417478 UNITED REGIONAL PHYSICIAN GROUP CAHPS for MIPS SSM: Patient’s Rating of Provider NA NA 76 NA NA NA
2163417478 UNITED REGIONAL PHYSICIAN GROUP CAHPS for MIPS SSM: Health Promotion and Education NA NA NA 60 NA NA
2163417478 UNITED REGIONAL PHYSICIAN GROUP CAHPS for MIPS SSM: Courteous and Helpful Office Staff NA NA NA NA 84 NA
2163417478 UNITED REGIONAL PHYSICIAN GROUP CAHPS for MIPS SSM: Stewardship of Patient Resources NA NA NA NA NA 20
2264345206 MARSHFIELD CLINIC INC CAHPS for MIPS SSM: Getting Timely Care, Appointments, and Information 56 NA NA NA NA NA
2264345206 MARSHFIELD CLINIC INC CAHPS for MIPS SSM: How Well Providers Communicate NA 83 NA NA NA NA
2264345206 MARSHFIELD CLINIC INC CAHPS for MIPS SSM: Patient’s Rating of Provider NA NA 80 NA NA NA
2264345206 MARSHFIELD CLINIC INC CAHPS for MIPS SSM: Health Promotion and Education NA NA NA 65 NA NA
2264345206 MARSHFIELD CLINIC INC CAHPS for MIPS SSM: Courteous and Helpful Office Staff NA NA NA NA 81 NA
2264345206 MARSHFIELD CLINIC INC CAHPS for MIPS SSM: Stewardship of Patient Resources NA NA NA NA NA 17
2365352820 SIU PHYSICIANS AND SURGEONS INC CAHPS for MIPS SSM: Getting Timely Care, Appointments, and Information NA NA NA NA NA NA
2365352820 SIU PHYSICIANS AND SURGEONS INC CAHPS for MIPS SSM: How Well Providers Communicate NA NA NA NA NA NA
2365352820 SIU PHYSICIANS AND SURGEONS INC CAHPS for MIPS SSM: Patient’s Rating of Provider NA NA 85 NA NA NA
2365352820 SIU PHYSICIANS AND SURGEONS INC CAHPS for MIPS SSM: Health Promotion and Education NA NA NA 60 NA NA
2365352820 SIU PHYSICIANS AND SURGEONS INC CAHPS for MIPS SSM: Courteous and Helpful Office Staff NA NA NA NA 81 NA
2365352820 SIU PHYSICIANS AND SURGEONS INC CAHPS for MIPS SSM: Stewardship of Patient Resources NA NA NA NA NA 24
2466351481 CHRISTIANA CARE HEALTH INITIATIVES CAHPS for MIPS SSM: Getting Timely Care, Appointments, and Information 68 NA NA NA NA NA
2466351481 CHRISTIANA CARE HEALTH INITIATIVES CAHPS for MIPS SSM: How Well Providers Communicate NA NA NA NA NA NA
2466351481 CHRISTIANA CARE HEALTH INITIATIVES CAHPS for MIPS SSM: Patient’s Rating of Provider NA NA 86 NA NA NA
2466351481 CHRISTIANA CARE HEALTH INITIATIVES CAHPS for MIPS SSM: Health Promotion and Education NA NA NA 74 NA NA
2466351481 CHRISTIANA CARE HEALTH INITIATIVES CAHPS for MIPS SSM: Courteous and Helpful Office Staff NA NA NA NA NA NA
2466351481 CHRISTIANA CARE HEALTH INITIATIVES CAHPS for MIPS SSM: Stewardship of Patient Resources NA NA NA NA NA NA
2466356209 HARBOR MEDICAL ASSOCIATES INC CAHPS for MIPS SSM: Getting Timely Care, Appointments, and Information 57 NA NA NA NA NA
2466356209 HARBOR MEDICAL ASSOCIATES INC CAHPS for MIPS SSM: How Well Providers Communicate NA 87 NA NA NA NA
2466356209 HARBOR MEDICAL ASSOCIATES INC CAHPS for MIPS SSM: Patient’s Rating of Provider NA NA 85 NA NA NA
2466356209 HARBOR MEDICAL ASSOCIATES INC CAHPS for MIPS SSM: Health Promotion and Education NA NA NA 67 NA NA
2466356209 HARBOR MEDICAL ASSOCIATES INC CAHPS for MIPS SSM: Courteous and Helpful Office Staff NA NA NA NA 82 NA
2466356209 HARBOR MEDICAL ASSOCIATES INC CAHPS for MIPS SSM: Stewardship of Patient Resources NA NA NA NA NA 16
2466633102 SCL HEALTH MEDICAL GROUP - BUTTE LLC CAHPS for MIPS SSM: Getting Timely Care, Appointments, and Information 66 NA NA NA NA NA
2466633102 SCL HEALTH MEDICAL GROUP - BUTTE LLC CAHPS for MIPS SSM: How Well Providers Communicate NA NA NA NA NA NA
2466633102 SCL HEALTH MEDICAL GROUP - BUTTE LLC CAHPS for MIPS SSM: Patient’s Rating of Provider NA NA NA NA NA NA
2466633102 SCL HEALTH MEDICAL GROUP - BUTTE LLC CAHPS for MIPS SSM: Health Promotion and Education NA NA NA 54 NA NA
2466633102 SCL HEALTH MEDICAL GROUP - BUTTE LLC CAHPS for MIPS SSM: Courteous and Helpful Office Staff NA NA NA NA 83 NA
2466633102 SCL HEALTH MEDICAL GROUP - BUTTE LLC CAHPS for MIPS SSM: Stewardship of Patient Resources NA NA NA NA NA NA
2860304334 BOARD OF REGENTS OF THE UNIVERSITY OF OKLAHOMA - OU PHYSICIANS CAHPS for MIPS SSM: Getting Timely Care, Appointments, and Information 69 NA NA NA NA NA
2860304334 BOARD OF REGENTS OF THE UNIVERSITY OF OKLAHOMA - OU PHYSICIANS CAHPS for MIPS SSM: How Well Providers Communicate NA 91 NA NA NA NA
2860304334 BOARD OF REGENTS OF THE UNIVERSITY OF OKLAHOMA - OU PHYSICIANS CAHPS for MIPS SSM: Patient’s Rating of Provider NA NA 89 NA NA NA
2860304334 BOARD OF REGENTS OF THE UNIVERSITY OF OKLAHOMA - OU PHYSICIANS CAHPS for MIPS SSM: Health Promotion and Education NA NA NA 64 NA NA
2860304334 BOARD OF REGENTS OF THE UNIVERSITY OF OKLAHOMA - OU PHYSICIANS CAHPS for MIPS SSM: Courteous and Helpful Office Staff NA NA NA NA 87 NA
2860304334 BOARD OF REGENTS OF THE UNIVERSITY OF OKLAHOMA - OU PHYSICIANS CAHPS for MIPS SSM: Stewardship of Patient Resources NA NA NA NA NA 27
2860392529 CAMPBELL COUNTY HOSPITAL DISTRICT CAHPS for MIPS SSM: Getting Timely Care, Appointments, and Information 64 NA NA NA NA NA
2860392529 CAMPBELL COUNTY HOSPITAL DISTRICT CAHPS for MIPS SSM: How Well Providers Communicate NA 82 NA NA NA NA
2860392529 CAMPBELL COUNTY HOSPITAL DISTRICT CAHPS for MIPS SSM: Patient’s Rating of Provider NA NA 80 NA NA NA
2860392529 CAMPBELL COUNTY HOSPITAL DISTRICT CAHPS for MIPS SSM: Health Promotion and Education NA NA NA 56 NA NA
2860392529 CAMPBELL COUNTY HOSPITAL DISTRICT CAHPS for MIPS SSM: Courteous and Helpful Office Staff NA NA NA NA 84 NA
2860392529 CAMPBELL COUNTY HOSPITAL DISTRICT CAHPS for MIPS SSM: Stewardship of Patient Resources NA NA NA NA NA 30
2860396330 SUMMIT MEDICAL GROUP PLLC CAHPS for MIPS SSM: Getting Timely Care, Appointments, and Information 70 NA NA NA NA NA
2860396330 SUMMIT MEDICAL GROUP PLLC CAHPS for MIPS SSM: How Well Providers Communicate NA 88 NA NA NA NA
2860396330 SUMMIT MEDICAL GROUP PLLC CAHPS for MIPS SSM: Patient’s Rating of Provider NA NA 86 NA NA NA
2860396330 SUMMIT MEDICAL GROUP PLLC CAHPS for MIPS SSM: Health Promotion and Education NA NA NA 64 NA NA
2860396330 SUMMIT MEDICAL GROUP PLLC CAHPS for MIPS SSM: Courteous and Helpful Office Staff NA NA NA NA 84 NA
2860396330 SUMMIT MEDICAL GROUP PLLC CAHPS for MIPS SSM: Stewardship of Patient Resources NA NA NA NA NA 27
3072422716 THE BOARD OF TRUSTEES OF THE UNIVERSITY OF ILLINOIS CAHPS for MIPS SSM: Getting Timely Care, Appointments, and Information NA NA NA NA NA NA
3072422716 THE BOARD OF TRUSTEES OF THE UNIVERSITY OF ILLINOIS CAHPS for MIPS SSM: How Well Providers Communicate NA NA NA NA NA NA
3072422716 THE BOARD OF TRUSTEES OF THE UNIVERSITY OF ILLINOIS CAHPS for MIPS SSM: Patient’s Rating of Provider NA NA 86 NA NA NA
3072422716 THE BOARD OF TRUSTEES OF THE UNIVERSITY OF ILLINOIS CAHPS for MIPS SSM: Health Promotion and Education NA NA NA NA NA NA
3072422716 THE BOARD OF TRUSTEES OF THE UNIVERSITY OF ILLINOIS CAHPS for MIPS SSM: Courteous and Helpful Office Staff NA NA NA NA NA NA
3072422716 THE BOARD OF TRUSTEES OF THE UNIVERSITY OF ILLINOIS CAHPS for MIPS SSM: Stewardship of Patient Resources NA NA NA NA NA NA
3173436490 THE VANCOUVER CLINIC INC PS CAHPS for MIPS SSM: Getting Timely Care, Appointments, and Information 60 NA NA NA NA NA
3173436490 THE VANCOUVER CLINIC INC PS CAHPS for MIPS SSM: How Well Providers Communicate NA 85 NA NA NA NA
3173436490 THE VANCOUVER CLINIC INC PS CAHPS for MIPS SSM: Patient’s Rating of Provider NA NA 82 NA NA NA
3173436490 THE VANCOUVER CLINIC INC PS CAHPS for MIPS SSM: Health Promotion and Education NA NA NA 57 NA NA
3173436490 THE VANCOUVER CLINIC INC PS CAHPS for MIPS SSM: Courteous and Helpful Office Staff NA NA NA NA 83 NA
3173436490 THE VANCOUVER CLINIC INC PS CAHPS for MIPS SSM: Stewardship of Patient Resources NA NA NA NA NA 21
3173660776 WESTCHESTER MEDICAL CENTER ADVANCED PHYSICIAN SERVICES PC CAHPS for MIPS SSM: Getting Timely Care, Appointments, and Information 72 NA NA NA NA NA
3173660776 WESTCHESTER MEDICAL CENTER ADVANCED PHYSICIAN SERVICES PC CAHPS for MIPS SSM: How Well Providers Communicate NA 88 NA NA NA NA
3173660776 WESTCHESTER MEDICAL CENTER ADVANCED PHYSICIAN SERVICES PC CAHPS for MIPS SSM: Patient’s Rating of Provider NA NA 85 NA NA NA
3173660776 WESTCHESTER MEDICAL CENTER ADVANCED PHYSICIAN SERVICES PC CAHPS for MIPS SSM: Health Promotion and Education NA NA NA 59 NA NA
3173660776 WESTCHESTER MEDICAL CENTER ADVANCED PHYSICIAN SERVICES PC CAHPS for MIPS SSM: Stewardship of Patient Resources NA NA NA NA NA 21
3375456734 UTMB FACULTY GROUP PRACTICE CAHPS for MIPS SSM: Getting Timely Care, Appointments, and Information NA NA NA NA NA NA
3375456734 UTMB FACULTY GROUP PRACTICE CAHPS for MIPS SSM: How Well Providers Communicate NA NA NA NA NA NA
3375456734 UTMB FACULTY GROUP PRACTICE CAHPS for MIPS SSM: Patient’s Rating of Provider NA NA NA NA NA NA
3375456734 UTMB FACULTY GROUP PRACTICE CAHPS for MIPS SSM: Health Promotion and Education NA NA NA 59 NA NA
3375456734 UTMB FACULTY GROUP PRACTICE CAHPS for MIPS SSM: Stewardship of Patient Resources NA NA NA NA NA 24
3476725599 UNIVERSITY OF LOUISVILLE PHYSICIANS, INC CAHPS for MIPS SSM: Getting Timely Care, Appointments, and Information 69 NA NA NA NA NA
3476725599 UNIVERSITY OF LOUISVILLE PHYSICIANS, INC CAHPS for MIPS SSM: How Well Providers Communicate NA 90 NA NA NA NA
3476725599 UNIVERSITY OF LOUISVILLE PHYSICIANS, INC CAHPS for MIPS SSM: Patient’s Rating of Provider NA NA 86 NA NA NA
3476725599 UNIVERSITY OF LOUISVILLE PHYSICIANS, INC CAHPS for MIPS SSM: Health Promotion and Education NA NA NA 59 NA NA
3476725599 UNIVERSITY OF LOUISVILLE PHYSICIANS, INC CAHPS for MIPS SSM: Stewardship of Patient Resources NA NA NA NA NA 29
3779751656 CITY OF HOPE MEDICAL FOUNDATION CAHPS for MIPS SSM: Getting Timely Care, Appointments, and Information 72 NA NA NA NA NA
3779751656 CITY OF HOPE MEDICAL FOUNDATION CAHPS for MIPS SSM: How Well Providers Communicate NA 87 NA NA NA NA
3779751656 CITY OF HOPE MEDICAL FOUNDATION CAHPS for MIPS SSM: Patient’s Rating of Provider NA NA 86 NA NA NA
3779751656 CITY OF HOPE MEDICAL FOUNDATION CAHPS for MIPS SSM: Health Promotion and Education NA NA NA 53 NA NA
3779751656 CITY OF HOPE MEDICAL FOUNDATION CAHPS for MIPS SSM: Stewardship of Patient Resources NA NA NA NA NA 19
3870405988 BRIGHAM AND WOMENS PHYSICIANS ORGANIZATION INC CAHPS for MIPS SSM: Getting Timely Care, Appointments, and Information 65 NA NA NA NA NA
3870405988 BRIGHAM AND WOMENS PHYSICIANS ORGANIZATION INC CAHPS for MIPS SSM: How Well Providers Communicate NA 88 NA NA NA NA
3870405988 BRIGHAM AND WOMENS PHYSICIANS ORGANIZATION INC CAHPS for MIPS SSM: Patient’s Rating of Provider NA NA 80 NA NA NA
3870405988 BRIGHAM AND WOMENS PHYSICIANS ORGANIZATION INC CAHPS for MIPS SSM: Health Promotion and Education NA NA NA 67 NA NA
3870405988 BRIGHAM AND WOMENS PHYSICIANS ORGANIZATION INC CAHPS for MIPS SSM: Stewardship of Patient Resources NA NA NA NA NA 18
4284538778 SUTTER BAY MEDICAL FOUNDATION CAHPS for MIPS SSM: Getting Timely Care, Appointments, and Information 65 NA NA NA NA NA
4284538778 SUTTER BAY MEDICAL FOUNDATION CAHPS for MIPS SSM: How Well Providers Communicate NA 88 NA NA NA NA
4284538778 SUTTER BAY MEDICAL FOUNDATION CAHPS for MIPS SSM: Patient’s Rating of Provider NA NA 86 NA NA NA
4284538778 SUTTER BAY MEDICAL FOUNDATION CAHPS for MIPS SSM: Health Promotion and Education NA NA NA 57 NA NA
4284538778 SUTTER BAY MEDICAL FOUNDATION CAHPS for MIPS SSM: Stewardship of Patient Resources NA NA NA NA NA 20
4385538735 PATIENT FIRST MARYLAND MEDICAL GROUP PLLC CAHPS for MIPS SSM: Getting Timely Care, Appointments, and Information NA NA NA NA NA NA
4385538735 PATIENT FIRST MARYLAND MEDICAL GROUP PLLC CAHPS for MIPS SSM: How Well Providers Communicate NA NA NA NA NA NA
4385538735 PATIENT FIRST MARYLAND MEDICAL GROUP PLLC CAHPS for MIPS SSM: Patient’s Rating of Provider NA NA NA NA NA NA
4385538735 PATIENT FIRST MARYLAND MEDICAL GROUP PLLC CAHPS for MIPS SSM: Health Promotion and Education NA NA NA 44 NA NA
4385538735 PATIENT FIRST MARYLAND MEDICAL GROUP PLLC CAHPS for MIPS SSM: Stewardship of Patient Resources NA NA NA NA NA 24
4486568698 MEDICAL ASSOCIATES OF EAST AL, PC CAHPS for MIPS SSM: Getting Timely Care, Appointments, and Information NA NA NA NA NA NA
4486568698 MEDICAL ASSOCIATES OF EAST AL, PC CAHPS for MIPS SSM: How Well Providers Communicate NA NA NA NA NA NA
4486568698 MEDICAL ASSOCIATES OF EAST AL, PC CAHPS for MIPS SSM: Patient’s Rating of Provider NA NA NA NA NA NA
4486568698 MEDICAL ASSOCIATES OF EAST AL, PC CAHPS for MIPS SSM: Health Promotion and Education NA NA NA NA NA NA
4486568698 MEDICAL ASSOCIATES OF EAST AL, PC CAHPS for MIPS SSM: Stewardship of Patient Resources NA NA NA NA NA NA
4486646197 SJHMC PHYSICIAN SERVICES C/O DIGNITY HEALTH CAHPS for MIPS SSM: Getting Timely Care, Appointments, and Information 59 NA NA NA NA NA
4486646197 SJHMC PHYSICIAN SERVICES C/O DIGNITY HEALTH CAHPS for MIPS SSM: How Well Providers Communicate NA 88 NA NA NA NA
4486646197 SJHMC PHYSICIAN SERVICES C/O DIGNITY HEALTH CAHPS for MIPS SSM: Patient’s Rating of Provider NA NA 85 NA NA NA
4486646197 SJHMC PHYSICIAN SERVICES C/O DIGNITY HEALTH CAHPS for MIPS SSM: Health Promotion and Education NA NA NA 68 NA NA
4486646197 SJHMC PHYSICIAN SERVICES C/O DIGNITY HEALTH CAHPS for MIPS SSM: Stewardship of Patient Resources NA NA NA NA NA 23
4587575550 THE MARY LANNING MEMORIAL HOSPITAL ASSOCIATION CAHPS for MIPS SSM: Getting Timely Care, Appointments, and Information 68 NA NA NA NA NA
4587575550 THE MARY LANNING MEMORIAL HOSPITAL ASSOCIATION CAHPS for MIPS SSM: How Well Providers Communicate NA 85 NA NA NA NA
4587575550 THE MARY LANNING MEMORIAL HOSPITAL ASSOCIATION CAHPS for MIPS SSM: Patient’s Rating of Provider NA NA 79 NA NA NA
4587575550 THE MARY LANNING MEMORIAL HOSPITAL ASSOCIATION CAHPS for MIPS SSM: Health Promotion and Education NA NA NA 65 NA NA
4587575550 THE MARY LANNING MEMORIAL HOSPITAL ASSOCIATION CAHPS for MIPS SSM: Stewardship of Patient Resources NA NA NA NA NA 26
4587578042 LITTLE COMPANY OF MARY HOSPITAL OF INDIANA INC CAHPS for MIPS SSM: Getting Timely Care, Appointments, and Information 75 NA NA NA NA NA
4587578042 LITTLE COMPANY OF MARY HOSPITAL OF INDIANA INC CAHPS for MIPS SSM: How Well Providers Communicate NA 90 NA NA NA NA
4587578042 LITTLE COMPANY OF MARY HOSPITAL OF INDIANA INC CAHPS for MIPS SSM: Patient’s Rating of Provider NA NA 87 NA NA NA
4587578042 LITTLE COMPANY OF MARY HOSPITAL OF INDIANA INC CAHPS for MIPS SSM: Health Promotion and Education NA NA NA 62 NA NA
4587578042 LITTLE COMPANY OF MARY HOSPITAL OF INDIANA INC CAHPS for MIPS SSM: Stewardship of Patient Resources NA NA NA NA NA 33
4880590728 UNIVERSITY OF VIRGINIA PHYSICIANS GROUP CAHPS for MIPS SSM: Getting Timely Care, Appointments, and Information 63 NA NA NA NA NA
4880590728 UNIVERSITY OF VIRGINIA PHYSICIANS GROUP CAHPS for MIPS SSM: How Well Providers Communicate NA 86 NA NA NA NA
4880590728 UNIVERSITY OF VIRGINIA PHYSICIANS GROUP CAHPS for MIPS SSM: Patient’s Rating of Provider NA NA 81 NA NA NA
4880590728 UNIVERSITY OF VIRGINIA PHYSICIANS GROUP CAHPS for MIPS SSM: Health Promotion and Education NA NA NA 61 NA NA
4880590728 UNIVERSITY OF VIRGINIA PHYSICIANS GROUP CAHPS for MIPS SSM: Stewardship of Patient Resources NA NA NA NA NA 23
5092628479 KAUAI MEDICAL CLINIC CAHPS for MIPS SSM: Getting Timely Care, Appointments, and Information 60 NA NA NA NA NA
5092628479 KAUAI MEDICAL CLINIC CAHPS for MIPS SSM: How Well Providers Communicate NA 83 NA NA NA NA
5092628479 KAUAI MEDICAL CLINIC CAHPS for MIPS SSM: Patient’s Rating of Provider NA NA 80 NA NA NA
5092628479 KAUAI MEDICAL CLINIC CAHPS for MIPS SSM: Health Promotion and Education NA NA NA 56 NA NA
5092628479 KAUAI MEDICAL CLINIC CAHPS for MIPS SSM: Stewardship of Patient Resources NA NA NA NA NA 18
5193900280 PATIENT FIRST PENNSYLVANIA MEDICAL GROUP PLLC CAHPS for MIPS SSM: Getting Timely Care, Appointments, and Information NA NA NA NA NA NA
5193900280 PATIENT FIRST PENNSYLVANIA MEDICAL GROUP PLLC CAHPS for MIPS SSM: How Well Providers Communicate NA NA NA NA NA NA
5193900280 PATIENT FIRST PENNSYLVANIA MEDICAL GROUP PLLC CAHPS for MIPS SSM: Patient’s Rating of Provider NA NA 77 NA NA NA
5193900280 PATIENT FIRST PENNSYLVANIA MEDICAL GROUP PLLC CAHPS for MIPS SSM: Health Promotion and Education NA NA NA NA NA NA
5193900280 PATIENT FIRST PENNSYLVANIA MEDICAL GROUP PLLC CAHPS for MIPS SSM: Stewardship of Patient Resources NA NA NA NA NA NA
5294644381 KALISPELL REGIONAL MEDICAL CENTER INC CAHPS for MIPS SSM: Getting Timely Care, Appointments, and Information 60 NA NA NA NA NA
5294644381 KALISPELL REGIONAL MEDICAL CENTER INC CAHPS for MIPS SSM: How Well Providers Communicate NA 81 NA NA NA NA
5294644381 KALISPELL REGIONAL MEDICAL CENTER INC CAHPS for MIPS SSM: Patient’s Rating of Provider NA NA 77 NA NA NA
5294644381 KALISPELL REGIONAL MEDICAL CENTER INC CAHPS for MIPS SSM: Health Promotion and Education NA NA NA 56 NA NA
5294644381 KALISPELL REGIONAL MEDICAL CENTER INC CAHPS for MIPS SSM: Stewardship of Patient Resources NA NA NA NA NA 23
5294646378 UNIVERSITY HEALTH SYSTEM,INC CAHPS for MIPS SSM: Getting Timely Care, Appointments, and Information 64 NA NA NA NA NA
5294646378 UNIVERSITY HEALTH SYSTEM,INC CAHPS for MIPS SSM: How Well Providers Communicate NA 89 NA NA NA NA
5294646378 UNIVERSITY HEALTH SYSTEM,INC CAHPS for MIPS SSM: Patient’s Rating of Provider NA NA 87 NA NA NA
5294646378 UNIVERSITY HEALTH SYSTEM,INC CAHPS for MIPS SSM: Health Promotion and Education NA NA NA 62 NA NA
5294646378 UNIVERSITY HEALTH SYSTEM,INC CAHPS for MIPS SSM: Stewardship of Patient Resources NA NA NA NA NA 31
5395642276 SUMMIT MEDICAL GROUP PA CAHPS for MIPS SSM: Getting Timely Care, Appointments, and Information 64 NA NA NA NA NA
5395642276 SUMMIT MEDICAL GROUP PA CAHPS for MIPS SSM: How Well Providers Communicate NA 86 NA NA NA NA
5395642276 SUMMIT MEDICAL GROUP PA CAHPS for MIPS SSM: Patient’s Rating of Provider NA NA 84 NA NA NA
5395642276 SUMMIT MEDICAL GROUP PA CAHPS for MIPS SSM: Health Promotion and Education NA NA NA 65 NA NA
5395642276 SUMMIT MEDICAL GROUP PA CAHPS for MIPS SSM: Stewardship of Patient Resources NA NA NA NA NA 20
5496648875 TRINITY WEST CAHPS for MIPS SSM: Getting Timely Care, Appointments, and Information 76 NA NA NA NA NA
5496648875 TRINITY WEST CAHPS for MIPS SSM: How Well Providers Communicate NA 90 NA NA NA NA
5496648875 TRINITY WEST CAHPS for MIPS SSM: Patient’s Rating of Provider NA NA 88 NA NA NA
5496648875 TRINITY WEST CAHPS for MIPS SSM: Health Promotion and Education NA NA NA 57 NA NA
5496648875 TRINITY WEST CAHPS for MIPS SSM: Stewardship of Patient Resources NA NA NA NA NA 37
5799694675 ST VINCENT HOSPITAL-HOSPITAL SISTERS-THIRD ORDER OF ST FRANCIS CAHPS for MIPS SSM: Getting Timely Care, Appointments, and Information 65 NA NA NA NA NA
5799694675 ST VINCENT HOSPITAL-HOSPITAL SISTERS-THIRD ORDER OF ST FRANCIS CAHPS for MIPS SSM: How Well Providers Communicate NA 86 NA NA NA NA
5799694675 ST VINCENT HOSPITAL-HOSPITAL SISTERS-THIRD ORDER OF ST FRANCIS CAHPS for MIPS SSM: Patient’s Rating of Provider NA NA 84 NA NA NA
5799694675 ST VINCENT HOSPITAL-HOSPITAL SISTERS-THIRD ORDER OF ST FRANCIS CAHPS for MIPS SSM: Health Promotion and Education NA NA NA 59 NA NA
5799694675 ST VINCENT HOSPITAL-HOSPITAL SISTERS-THIRD ORDER OF ST FRANCIS CAHPS for MIPS SSM: Stewardship of Patient Resources NA NA NA NA NA 22
5799698346 SWEDISHAMERICAN HOSPITAL CAHPS for MIPS SSM: Getting Timely Care, Appointments, and Information 55 NA NA NA NA NA
5799698346 SWEDISHAMERICAN HOSPITAL CAHPS for MIPS SSM: How Well Providers Communicate NA 81 NA NA NA NA
5799698346 SWEDISHAMERICAN HOSPITAL CAHPS for MIPS SSM: Patient’s Rating of Provider NA NA 77 NA NA NA
5799698346 SWEDISHAMERICAN HOSPITAL CAHPS for MIPS SSM: Health Promotion and Education NA NA NA 65 NA NA
5799698346 SWEDISHAMERICAN HOSPITAL CAHPS for MIPS SSM: Stewardship of Patient Resources NA NA NA NA NA 20
5890054100 PLATTE VALLEY MEDICAL GROUP LLC CAHPS for MIPS SSM: Getting Timely Care, Appointments, and Information 64 NA NA NA NA NA
5890054100 PLATTE VALLEY MEDICAL GROUP LLC CAHPS for MIPS SSM: How Well Providers Communicate NA NA NA NA NA NA
5890054100 PLATTE VALLEY MEDICAL GROUP LLC CAHPS for MIPS SSM: Patient’s Rating of Provider NA NA 81 NA NA NA
5890054100 PLATTE VALLEY MEDICAL GROUP LLC CAHPS for MIPS SSM: Health Promotion and Education NA NA NA 57 NA NA
5890054100 PLATTE VALLEY MEDICAL GROUP LLC CAHPS for MIPS SSM: Stewardship of Patient Resources NA NA NA NA NA 18
5890606008 HOLZER CLINIC LLC CAHPS for MIPS SSM: Getting Timely Care, Appointments, and Information 74 NA NA NA NA NA
5890606008 HOLZER CLINIC LLC CAHPS for MIPS SSM: How Well Providers Communicate NA 90 NA NA NA NA
5890606008 HOLZER CLINIC LLC CAHPS for MIPS SSM: Patient’s Rating of Provider NA NA 85 NA NA NA
5890606008 HOLZER CLINIC LLC CAHPS for MIPS SSM: Health Promotion and Education NA NA NA 67 NA NA
5890606008 HOLZER CLINIC LLC CAHPS for MIPS SSM: Stewardship of Patient Resources NA NA NA NA NA 28
5890689657 EISENHOWER MEDICAL CENTER CAHPS for MIPS SSM: Getting Timely Care, Appointments, and Information 56 NA NA NA NA NA
5890689657 EISENHOWER MEDICAL CENTER CAHPS for MIPS SSM: How Well Providers Communicate NA 83 NA NA NA NA
5890689657 EISENHOWER MEDICAL CENTER CAHPS for MIPS SSM: Patient’s Rating of Provider NA NA 78 NA NA NA
5890689657 EISENHOWER MEDICAL CENTER CAHPS for MIPS SSM: Health Promotion and Education NA NA NA 66 NA NA
5890689657 EISENHOWER MEDICAL CENTER CAHPS for MIPS SSM: Stewardship of Patient Resources NA NA NA NA NA 20
5890689715 DUBOIS REGIONAL MEDICAL CENTER CAHPS for MIPS SSM: Getting Timely Care, Appointments, and Information 62 NA NA NA NA NA
5890689715 DUBOIS REGIONAL MEDICAL CENTER CAHPS for MIPS SSM: How Well Providers Communicate NA NA NA NA NA NA
5890689715 DUBOIS REGIONAL MEDICAL CENTER CAHPS for MIPS SSM: Patient’s Rating of Provider NA NA NA NA NA NA
5890689715 DUBOIS REGIONAL MEDICAL CENTER CAHPS for MIPS SSM: Health Promotion and Education NA NA NA 66 NA NA
5890689715 DUBOIS REGIONAL MEDICAL CENTER CAHPS for MIPS SSM: Stewardship of Patient Resources NA NA NA NA NA NA
5890691075 RAPID CITY MEDICAL CENTER LLP CAHPS for MIPS SSM: Getting Timely Care, Appointments, and Information 68 NA NA NA NA NA
5890691075 RAPID CITY MEDICAL CENTER LLP CAHPS for MIPS SSM: How Well Providers Communicate NA 84 NA NA NA NA
5890691075 RAPID CITY MEDICAL CENTER LLP CAHPS for MIPS SSM: Patient’s Rating of Provider NA NA 81 NA NA NA
5890691075 RAPID CITY MEDICAL CENTER LLP CAHPS for MIPS SSM: Health Promotion and Education NA NA NA 53 NA NA
5890691075 RAPID CITY MEDICAL CENTER LLP CAHPS for MIPS SSM: Stewardship of Patient Resources NA NA NA NA NA 24
5991776635 MARTIN’S POINT HEALTH CARE CAHPS for MIPS SSM: Getting Timely Care, Appointments, and Information 61 NA NA NA NA NA
5991776635 MARTIN’S POINT HEALTH CARE CAHPS for MIPS SSM: How Well Providers Communicate NA 85 NA NA NA NA
5991776635 MARTIN’S POINT HEALTH CARE CAHPS for MIPS SSM: Patient’s Rating of Provider NA NA 78 NA NA NA
5991776635 MARTIN’S POINT HEALTH CARE CAHPS for MIPS SSM: Health Promotion and Education NA NA NA 59 NA NA
5991776635 MARTIN’S POINT HEALTH CARE CAHPS for MIPS SSM: Stewardship of Patient Resources NA NA NA NA NA 17
6002728656 GUTHRIE MEDICAL GROUP PC CAHPS for MIPS SSM: Getting Timely Care, Appointments, and Information 70 NA NA NA NA NA
6002728656 GUTHRIE MEDICAL GROUP PC CAHPS for MIPS SSM: How Well Providers Communicate NA 88 NA NA NA NA
6002728656 GUTHRIE MEDICAL GROUP PC CAHPS for MIPS SSM: Patient’s Rating of Provider NA NA 82 NA NA NA
6002728656 GUTHRIE MEDICAL GROUP PC CAHPS for MIPS SSM: Health Promotion and Education NA NA NA 64 NA NA
6002728656 GUTHRIE MEDICAL GROUP PC CAHPS for MIPS SSM: Stewardship of Patient Resources NA NA NA NA NA 20
6103115183 SILICON VALLEY MEDICAL DEVELOPMENT LLC CAHPS for MIPS SSM: Getting Timely Care, Appointments, and Information 57 NA NA NA NA NA
6103115183 SILICON VALLEY MEDICAL DEVELOPMENT LLC CAHPS for MIPS SSM: How Well Providers Communicate NA 87 NA NA NA NA
6103115183 SILICON VALLEY MEDICAL DEVELOPMENT LLC CAHPS for MIPS SSM: Patient’s Rating of Provider NA NA 83 NA NA NA
6103115183 SILICON VALLEY MEDICAL DEVELOPMENT LLC CAHPS for MIPS SSM: Health Promotion and Education NA NA NA 58 NA NA
6103115183 SILICON VALLEY MEDICAL DEVELOPMENT LLC CAHPS for MIPS SSM: Stewardship of Patient Resources NA NA NA NA NA 22
6204740731 LICKING MEMORIAL PROFESSIONAL CORPORATION CAHPS for MIPS SSM: Getting Timely Care, Appointments, and Information 62 NA NA NA NA NA
6204740731 LICKING MEMORIAL PROFESSIONAL CORPORATION CAHPS for MIPS SSM: How Well Providers Communicate NA NA NA NA NA NA
6204740731 LICKING MEMORIAL PROFESSIONAL CORPORATION CAHPS for MIPS SSM: Patient’s Rating of Provider NA NA 77 NA NA NA
6204740731 LICKING MEMORIAL PROFESSIONAL CORPORATION CAHPS for MIPS SSM: Health Promotion and Education NA NA NA 53 NA NA
6204740731 LICKING MEMORIAL PROFESSIONAL CORPORATION CAHPS for MIPS SSM: Stewardship of Patient Resources NA NA NA NA NA 24
6305759754 STRAUB CLINIC AND HOSPITAL CAHPS for MIPS SSM: Getting Timely Care, Appointments, and Information 71 NA NA NA NA NA
6305759754 STRAUB CLINIC AND HOSPITAL CAHPS for MIPS SSM: How Well Providers Communicate NA 86 NA NA NA NA
6305759754 STRAUB CLINIC AND HOSPITAL CAHPS for MIPS SSM: Patient’s Rating of Provider NA NA 82 NA NA NA
6305759754 STRAUB CLINIC AND HOSPITAL CAHPS for MIPS SSM: Health Promotion and Education NA NA NA 57 NA NA
6305759754 STRAUB CLINIC AND HOSPITAL CAHPS for MIPS SSM: Stewardship of Patient Resources NA NA NA NA NA 15
6305810201 NORTH COAST PROFESSIONAL COMPANY, LLC CAHPS for MIPS SSM: Getting Timely Care, Appointments, and Information 77 NA NA NA NA NA
6305810201 NORTH COAST PROFESSIONAL COMPANY, LLC CAHPS for MIPS SSM: How Well Providers Communicate NA 93 NA NA NA NA
6305810201 NORTH COAST PROFESSIONAL COMPANY, LLC CAHPS for MIPS SSM: Patient’s Rating of Provider NA NA 89 NA NA NA
6305810201 NORTH COAST PROFESSIONAL COMPANY, LLC CAHPS for MIPS SSM: Health Promotion and Education NA NA NA 65 NA NA
6305810201 NORTH COAST PROFESSIONAL COMPANY, LLC CAHPS for MIPS SSM: Stewardship of Patient Resources NA NA NA NA NA 32
6406752153 THE EVERETT CLINIC, PLLC CAHPS for MIPS SSM: Getting Timely Care, Appointments, and Information 62 NA NA NA NA NA
6406752153 THE EVERETT CLINIC, PLLC CAHPS for MIPS SSM: How Well Providers Communicate NA 86 NA NA NA NA
6406752153 THE EVERETT CLINIC, PLLC CAHPS for MIPS SSM: Patient’s Rating of Provider NA NA 79 NA NA NA
6406752153 THE EVERETT CLINIC, PLLC CAHPS for MIPS SSM: Health Promotion and Education NA NA NA 57 NA NA
6406752153 THE EVERETT CLINIC, PLLC CAHPS for MIPS SSM: Stewardship of Patient Resources NA NA NA NA NA 17
6406901941 MONTAGE MEDICAL GROUP CAHPS for MIPS SSM: Getting Timely Care, Appointments, and Information 53 NA NA NA NA NA
6406901941 MONTAGE MEDICAL GROUP CAHPS for MIPS SSM: How Well Providers Communicate NA NA NA NA NA NA
6406901941 MONTAGE MEDICAL GROUP CAHPS for MIPS SSM: Patient’s Rating of Provider NA NA 70 NA NA NA
6406901941 MONTAGE MEDICAL GROUP CAHPS for MIPS SSM: Health Promotion and Education NA NA NA 57 NA NA
6406901941 MONTAGE MEDICAL GROUP CAHPS for MIPS SSM: Stewardship of Patient Resources NA NA NA NA NA 20
6709772767 HEARTLAND REGIONAL MEDICAL CENTER CAHPS for MIPS SSM: Getting Timely Care, Appointments, and Information 74 NA NA NA NA NA
6709772767 HEARTLAND REGIONAL MEDICAL CENTER CAHPS for MIPS SSM: How Well Providers Communicate NA 84 NA NA NA NA
6709772767 HEARTLAND REGIONAL MEDICAL CENTER CAHPS for MIPS SSM: Patient’s Rating of Provider NA NA 87 NA NA NA
6709772767 HEARTLAND REGIONAL MEDICAL CENTER CAHPS for MIPS SSM: Health Promotion and Education NA NA NA 64 NA NA
6709772767 HEARTLAND REGIONAL MEDICAL CENTER CAHPS for MIPS SSM: Stewardship of Patient Resources NA NA NA NA NA 21
6709797491 STANFORD HEALTH CARE CAHPS for MIPS SSM: Getting Timely Care, Appointments, and Information 59 NA NA NA NA NA
6709797491 STANFORD HEALTH CARE CAHPS for MIPS SSM: How Well Providers Communicate NA NA NA NA NA NA
6709797491 STANFORD HEALTH CARE CAHPS for MIPS SSM: Patient’s Rating of Provider NA NA 86 NA NA NA
6709797491 STANFORD HEALTH CARE CAHPS for MIPS SSM: Health Promotion and Education NA NA NA 58 NA NA
6709797491 STANFORD HEALTH CARE CAHPS for MIPS SSM: Stewardship of Patient Resources NA NA NA NA NA 22
6901099746 STAMFORD HEALTH MEDICAL GROUP INC CAHPS for MIPS SSM: Getting Timely Care, Appointments, and Information 73 NA NA NA NA NA
6901099746 STAMFORD HEALTH MEDICAL GROUP INC CAHPS for MIPS SSM: How Well Providers Communicate NA 91 NA NA NA NA
6901099746 STAMFORD HEALTH MEDICAL GROUP INC CAHPS for MIPS SSM: Patient’s Rating of Provider NA NA 88 NA NA NA
6901099746 STAMFORD HEALTH MEDICAL GROUP INC CAHPS for MIPS SSM: Health Promotion and Education NA NA NA 58 NA NA
6901099746 STAMFORD HEALTH MEDICAL GROUP INC CAHPS for MIPS SSM: Stewardship of Patient Resources NA NA NA NA NA 23
6901791367 KINGMAN HEALTHCARE, INC CAHPS for MIPS SSM: Getting Timely Care, Appointments, and Information NA NA NA NA NA NA
6901791367 KINGMAN HEALTHCARE, INC CAHPS for MIPS SSM: How Well Providers Communicate NA NA NA NA NA NA
6901791367 KINGMAN HEALTHCARE, INC CAHPS for MIPS SSM: Patient’s Rating of Provider NA NA 72 NA NA NA
6901791367 KINGMAN HEALTHCARE, INC CAHPS for MIPS SSM: Health Promotion and Education NA NA NA 55 NA NA
6901791367 KINGMAN HEALTHCARE, INC CAHPS for MIPS SSM: Stewardship of Patient Resources NA NA NA NA NA 16
7012058548 SOUTHEASTERN REGIONAL PHYSICIAN SERVICES CAHPS for MIPS SSM: Getting Timely Care, Appointments, and Information 66 NA NA NA NA NA
7012058548 SOUTHEASTERN REGIONAL PHYSICIAN SERVICES CAHPS for MIPS SSM: How Well Providers Communicate NA 85 NA NA NA NA
7012058548 SOUTHEASTERN REGIONAL PHYSICIAN SERVICES CAHPS for MIPS SSM: Patient’s Rating of Provider NA NA 75 NA NA NA
7012058548 SOUTHEASTERN REGIONAL PHYSICIAN SERVICES CAHPS for MIPS SSM: Health Promotion and Education NA NA NA 61 NA NA
7012058548 SOUTHEASTERN REGIONAL PHYSICIAN SERVICES CAHPS for MIPS SSM: Stewardship of Patient Resources NA NA NA NA NA NA
7012808827 OVERLAKE MEDICAL CLINICS LLC CAHPS for MIPS SSM: Getting Timely Care, Appointments, and Information 66 NA NA NA NA NA
7012808827 OVERLAKE MEDICAL CLINICS LLC CAHPS for MIPS SSM: How Well Providers Communicate NA 87 NA NA NA NA
7012808827 OVERLAKE MEDICAL CLINICS LLC CAHPS for MIPS SSM: Patient’s Rating of Provider NA NA 84 NA NA NA
7012808827 OVERLAKE MEDICAL CLINICS LLC CAHPS for MIPS SSM: Health Promotion and Education NA NA NA 63 NA NA
7012808827 OVERLAKE MEDICAL CLINICS LLC CAHPS for MIPS SSM: Stewardship of Patient Resources NA NA NA NA NA 25
7214841436 GENESIS HEALTH SYSTEM CAHPS for MIPS SSM: Getting Timely Care, Appointments, and Information 72 NA NA NA NA NA
7214841436 GENESIS HEALTH SYSTEM CAHPS for MIPS SSM: How Well Providers Communicate NA 89 NA NA NA NA
7214841436 GENESIS HEALTH SYSTEM CAHPS for MIPS SSM: Patient’s Rating of Provider NA NA 86 NA NA NA
7214841436 GENESIS HEALTH SYSTEM CAHPS for MIPS SSM: Health Promotion and Education NA NA NA 64 NA NA
7214841436 GENESIS HEALTH SYSTEM CAHPS for MIPS SSM: Stewardship of Patient Resources NA NA NA NA NA 20
7214936533 BEND MEMORIAL CLINIC PC CAHPS for MIPS SSM: Getting Timely Care, Appointments, and Information 57 NA NA NA NA NA
7214936533 BEND MEMORIAL CLINIC PC CAHPS for MIPS SSM: How Well Providers Communicate NA 85 NA NA NA NA
7214936533 BEND MEMORIAL CLINIC PC CAHPS for MIPS SSM: Patient’s Rating of Provider NA NA 76 NA NA NA
7214936533 BEND MEMORIAL CLINIC PC CAHPS for MIPS SSM: Health Promotion and Education NA NA NA 63 NA NA
7214936533 BEND MEMORIAL CLINIC PC CAHPS for MIPS SSM: Stewardship of Patient Resources NA NA NA NA NA 25
7618270729 RMH MEDICAL GROUP LLC CAHPS for MIPS SSM: Getting Timely Care, Appointments, and Information 61 NA NA NA NA NA
7618270729 RMH MEDICAL GROUP LLC CAHPS for MIPS SSM: How Well Providers Communicate NA 84 NA NA NA NA
7618270729 RMH MEDICAL GROUP LLC CAHPS for MIPS SSM: Patient’s Rating of Provider NA NA 81 NA NA NA
7618270729 RMH MEDICAL GROUP LLC CAHPS for MIPS SSM: Health Promotion and Education NA NA NA 57 NA NA
7618270729 RMH MEDICAL GROUP LLC CAHPS for MIPS SSM: Stewardship of Patient Resources NA NA NA NA NA 21
7618861105 MERCY HOSPITAL AND MEDICAL CENTER CAHPS for MIPS SSM: Getting Timely Care, Appointments, and Information 61 NA NA NA NA NA
7618861105 MERCY HOSPITAL AND MEDICAL CENTER CAHPS for MIPS SSM: How Well Providers Communicate NA 85 NA NA NA NA
7618861105 MERCY HOSPITAL AND MEDICAL CENTER CAHPS for MIPS SSM: Patient’s Rating of Provider NA NA 76 NA NA NA
7618861105 MERCY HOSPITAL AND MEDICAL CENTER CAHPS for MIPS SSM: Health Promotion and Education NA NA NA 63 NA NA
7618861105 MERCY HOSPITAL AND MEDICAL CENTER CAHPS for MIPS SSM: Stewardship of Patient Resources NA NA NA NA NA 21
7618871799 LEXINGTON COUNTY HEALTH SERVICES DISTRICT INC CAHPS for MIPS SSM: Getting Timely Care, Appointments, and Information 73 NA NA NA NA NA
7618871799 LEXINGTON COUNTY HEALTH SERVICES DISTRICT INC CAHPS for MIPS SSM: How Well Providers Communicate NA 88 NA NA NA NA
7618871799 LEXINGTON COUNTY HEALTH SERVICES DISTRICT INC CAHPS for MIPS SSM: Patient’s Rating of Provider NA NA 87 NA NA NA
7618871799 LEXINGTON COUNTY HEALTH SERVICES DISTRICT INC CAHPS for MIPS SSM: Health Promotion and Education NA NA NA 53 NA NA
7618871799 LEXINGTON COUNTY HEALTH SERVICES DISTRICT INC CAHPS for MIPS SSM: Stewardship of Patient Resources NA NA NA NA NA 22
7618880097 KING COUNTY PUBLIC HOSPITAL DISTRICT NO 2 CAHPS for MIPS SSM: Getting Timely Care, Appointments, and Information 57 NA NA NA NA NA
7618880097 KING COUNTY PUBLIC HOSPITAL DISTRICT NO 2 CAHPS for MIPS SSM: How Well Providers Communicate NA 89 NA NA NA NA
7618880097 KING COUNTY PUBLIC HOSPITAL DISTRICT NO 2 CAHPS for MIPS SSM: Patient’s Rating of Provider NA NA 83 NA NA NA
7618880097 KING COUNTY PUBLIC HOSPITAL DISTRICT NO 2 CAHPS for MIPS SSM: Health Promotion and Education NA NA NA 59 NA NA
7618880097 KING COUNTY PUBLIC HOSPITAL DISTRICT NO 2 CAHPS for MIPS SSM: Stewardship of Patient Resources NA NA NA NA NA 19
7719876267 SIGNATURE HEALTHCARE MEDICAL GROUP INC CAHPS for MIPS SSM: Getting Timely Care, Appointments, and Information 60 NA NA NA NA NA
7719876267 SIGNATURE HEALTHCARE MEDICAL GROUP INC CAHPS for MIPS SSM: How Well Providers Communicate NA 82 NA NA NA NA
7719876267 SIGNATURE HEALTHCARE MEDICAL GROUP INC CAHPS for MIPS SSM: Patient’s Rating of Provider NA NA 78 NA NA NA
7719876267 SIGNATURE HEALTHCARE MEDICAL GROUP INC CAHPS for MIPS SSM: Health Promotion and Education NA NA NA 63 NA NA
7719876267 SIGNATURE HEALTHCARE MEDICAL GROUP INC CAHPS for MIPS SSM: Stewardship of Patient Resources NA NA NA NA NA 17
7911801410 PHYSICIANS REFERRAL SERVICE CAHPS for MIPS SSM: Getting Timely Care, Appointments, and Information 76 NA NA NA NA NA
7911801410 PHYSICIANS REFERRAL SERVICE CAHPS for MIPS SSM: How Well Providers Communicate NA NA NA NA NA NA
7911801410 PHYSICIANS REFERRAL SERVICE CAHPS for MIPS SSM: Patient’s Rating of Provider NA NA 96 NA NA NA
7911801410 PHYSICIANS REFERRAL SERVICE CAHPS for MIPS SSM: Health Promotion and Education NA NA NA NA NA NA
7911801410 PHYSICIANS REFERRAL SERVICE CAHPS for MIPS SSM: Stewardship of Patient Resources NA NA NA NA NA NA
7911816020 TRINITY HEALTH CAHPS for MIPS SSM: Getting Timely Care, Appointments, and Information 58 NA NA NA NA NA
7911816020 TRINITY HEALTH CAHPS for MIPS SSM: How Well Providers Communicate NA 83 NA NA NA NA
7911816020 TRINITY HEALTH CAHPS for MIPS SSM: Patient’s Rating of Provider NA NA 75 NA NA NA
7911816020 TRINITY HEALTH CAHPS for MIPS SSM: Health Promotion and Education NA NA NA 59 NA NA
7911816020 TRINITY HEALTH CAHPS for MIPS SSM: Stewardship of Patient Resources NA NA NA NA NA 23
8022904473 COMMUNITY CARE PHYSICIANS PC CAHPS for MIPS SSM: Getting Timely Care, Appointments, and Information 67 NA NA NA NA NA
8022904473 COMMUNITY CARE PHYSICIANS PC CAHPS for MIPS SSM: How Well Providers Communicate NA 85 NA NA NA NA
8022904473 COMMUNITY CARE PHYSICIANS PC CAHPS for MIPS SSM: Patient’s Rating of Provider NA NA 81 NA NA NA
8022904473 COMMUNITY CARE PHYSICIANS PC CAHPS for MIPS SSM: Health Promotion and Education NA NA NA 61 NA NA
8022904473 COMMUNITY CARE PHYSICIANS PC CAHPS for MIPS SSM: Stewardship of Patient Resources NA NA NA NA NA 18
8123200540 STERN CARDIOVASCULAR FOUNDATION, INC CAHPS for MIPS SSM: Getting Timely Care, Appointments, and Information 69 NA NA NA NA NA
8123200540 STERN CARDIOVASCULAR FOUNDATION, INC CAHPS for MIPS SSM: How Well Providers Communicate NA 87 NA NA NA NA
8123200540 STERN CARDIOVASCULAR FOUNDATION, INC CAHPS for MIPS SSM: Patient’s Rating of Provider NA NA 85 NA NA NA
8123200540 STERN CARDIOVASCULAR FOUNDATION, INC CAHPS for MIPS SSM: Health Promotion and Education NA NA NA 54 NA NA
8123200540 STERN CARDIOVASCULAR FOUNDATION, INC CAHPS for MIPS SSM: Stewardship of Patient Resources NA NA NA NA NA 30
8325952914 LAKELAND REGIONAL HEALTH SYSTEMS INC CAHPS for MIPS SSM: Getting Timely Care, Appointments, and Information 62 NA NA NA NA NA
8325952914 LAKELAND REGIONAL HEALTH SYSTEMS INC CAHPS for MIPS SSM: How Well Providers Communicate NA 80 NA NA NA NA
8325952914 LAKELAND REGIONAL HEALTH SYSTEMS INC CAHPS for MIPS SSM: Patient’s Rating of Provider NA NA 78 NA NA NA
8325952914 LAKELAND REGIONAL HEALTH SYSTEMS INC CAHPS for MIPS SSM: Health Promotion and Education NA NA NA 65 NA NA
8325952914 LAKELAND REGIONAL HEALTH SYSTEMS INC CAHPS for MIPS SSM: Stewardship of Patient Resources NA NA NA NA NA 21
8426112350 PHOEBE PHYSICIAN GROUP INC CAHPS for MIPS SSM: Getting Timely Care, Appointments, and Information 64 NA NA NA NA NA
8426112350 PHOEBE PHYSICIAN GROUP INC CAHPS for MIPS SSM: How Well Providers Communicate NA NA NA NA NA NA
8426112350 PHOEBE PHYSICIAN GROUP INC CAHPS for MIPS SSM: Patient’s Rating of Provider NA NA 85 NA NA NA
8426112350 PHOEBE PHYSICIAN GROUP INC CAHPS for MIPS SSM: Health Promotion and Education NA NA NA 53 NA NA
8426112350 PHOEBE PHYSICIAN GROUP INC CAHPS for MIPS SSM: Stewardship of Patient Resources NA NA NA NA NA 16
8426113663 CHESAPEAKE REGIONAL MEDICAL GROUP CAHPS for MIPS SSM: Getting Timely Care, Appointments, and Information 69 NA NA NA NA NA
8426113663 CHESAPEAKE REGIONAL MEDICAL GROUP CAHPS for MIPS SSM: How Well Providers Communicate NA 84 NA NA NA NA
8426113663 CHESAPEAKE REGIONAL MEDICAL GROUP CAHPS for MIPS SSM: Patient’s Rating of Provider NA NA 82 NA NA NA
8426113663 CHESAPEAKE REGIONAL MEDICAL GROUP CAHPS for MIPS SSM: Health Promotion and Education NA NA NA 64 NA NA
8426113663 CHESAPEAKE REGIONAL MEDICAL GROUP CAHPS for MIPS SSM: Stewardship of Patient Resources NA NA NA NA NA 23
8426136797 MOUNT NITTANY MEDICAL CENTER HEALTH SERVICES INC CAHPS for MIPS SSM: Getting Timely Care, Appointments, and Information 71 NA NA NA NA NA
8426136797 MOUNT NITTANY MEDICAL CENTER HEALTH SERVICES INC CAHPS for MIPS SSM: How Well Providers Communicate NA 90 NA NA NA NA
8426136797 MOUNT NITTANY MEDICAL CENTER HEALTH SERVICES INC CAHPS for MIPS SSM: Patient’s Rating of Provider NA NA 88 NA NA NA
8426136797 MOUNT NITTANY MEDICAL CENTER HEALTH SERVICES INC CAHPS for MIPS SSM: Health Promotion and Education NA NA NA 62 NA NA
8426136797 MOUNT NITTANY MEDICAL CENTER HEALTH SERVICES INC CAHPS for MIPS SSM: Stewardship of Patient Resources NA NA NA NA NA 26
8426231119 VIRGINIA HOSPITAL CENTER PHYSICIAN GROUP LLC CAHPS for MIPS SSM: Getting Timely Care, Appointments, and Information 56 NA NA NA NA NA
8426231119 VIRGINIA HOSPITAL CENTER PHYSICIAN GROUP LLC CAHPS for MIPS SSM: How Well Providers Communicate NA 85 NA NA NA NA
8426231119 VIRGINIA HOSPITAL CENTER PHYSICIAN GROUP LLC CAHPS for MIPS SSM: Patient’s Rating of Provider NA NA 80 NA NA NA
8426231119 VIRGINIA HOSPITAL CENTER PHYSICIAN GROUP LLC CAHPS for MIPS SSM: Health Promotion and Education NA NA NA 61 NA NA
8426231119 VIRGINIA HOSPITAL CENTER PHYSICIAN GROUP LLC CAHPS for MIPS SSM: Stewardship of Patient Resources NA NA NA NA NA 16
8527044551 MICHIGAN PRIMARY CARE PARTNERS P C CAHPS for MIPS SSM: Getting Timely Care, Appointments, and Information NA NA NA NA NA NA
8527044551 MICHIGAN PRIMARY CARE PARTNERS P C CAHPS for MIPS SSM: How Well Providers Communicate NA NA NA NA NA NA
8527044551 MICHIGAN PRIMARY CARE PARTNERS P C CAHPS for MIPS SSM: Patient’s Rating of Provider NA NA NA NA NA NA
8527044551 MICHIGAN PRIMARY CARE PARTNERS P C CAHPS for MIPS SSM: Health Promotion and Education NA NA NA NA NA NA
8527044551 MICHIGAN PRIMARY CARE PARTNERS P C CAHPS for MIPS SSM: Stewardship of Patient Resources NA NA NA NA NA NA
8628073236 PHYSICIAN PRIMECARE, INC CAHPS for MIPS SSM: Getting Timely Care, Appointments, and Information 62 NA NA NA NA NA
8628073236 PHYSICIAN PRIMECARE, INC CAHPS for MIPS SSM: How Well Providers Communicate NA 88 NA NA NA NA
8628073236 PHYSICIAN PRIMECARE, INC CAHPS for MIPS SSM: Patient’s Rating of Provider NA NA 88 NA NA NA
8628073236 PHYSICIAN PRIMECARE, INC CAHPS for MIPS SSM: Health Promotion and Education NA NA NA 58 NA NA
8628073236 PHYSICIAN PRIMECARE, INC CAHPS for MIPS SSM: Stewardship of Patient Resources NA NA NA NA NA 22
8729072418 SACRED HEART HOSPITAL OF THE HOSPITAL SISTERS-3RD ORDER OF ST FRANCIS CAHPS for MIPS SSM: Getting Timely Care, Appointments, and Information 75 NA NA NA NA NA
8729072418 SACRED HEART HOSPITAL OF THE HOSPITAL SISTERS-3RD ORDER OF ST FRANCIS CAHPS for MIPS SSM: How Well Providers Communicate NA 88 NA NA NA NA
8729072418 SACRED HEART HOSPITAL OF THE HOSPITAL SISTERS-3RD ORDER OF ST FRANCIS CAHPS for MIPS SSM: Patient’s Rating of Provider NA NA 86 NA NA NA
8729072418 SACRED HEART HOSPITAL OF THE HOSPITAL SISTERS-3RD ORDER OF ST FRANCIS CAHPS for MIPS SSM: Health Promotion and Education NA NA NA 57 NA NA
8729072418 SACRED HEART HOSPITAL OF THE HOSPITAL SISTERS-3RD ORDER OF ST FRANCIS CAHPS for MIPS SSM: Stewardship of Patient Resources NA NA NA NA NA NA
8729139852 ALBEMARLE PHYSICIAN SERVICES- SENTARA INC CAHPS for MIPS SSM: Getting Timely Care, Appointments, and Information NA NA NA NA NA NA
8729139852 ALBEMARLE PHYSICIAN SERVICES- SENTARA INC CAHPS for MIPS SSM: How Well Providers Communicate NA NA NA NA NA NA
8729139852 ALBEMARLE PHYSICIAN SERVICES- SENTARA INC CAHPS for MIPS SSM: Patient’s Rating of Provider NA NA NA NA NA NA
8729139852 ALBEMARLE PHYSICIAN SERVICES- SENTARA INC CAHPS for MIPS SSM: Health Promotion and Education NA NA NA NA NA NA
8729139852 ALBEMARLE PHYSICIAN SERVICES- SENTARA INC CAHPS for MIPS SSM: Stewardship of Patient Resources NA NA NA NA NA NA
8729351077 PENN STATE HEALTH COMMUNITY MEDICAL GROUP, LLC CAHPS for MIPS SSM: Getting Timely Care, Appointments, and Information 70 NA NA NA NA NA
8729351077 PENN STATE HEALTH COMMUNITY MEDICAL GROUP, LLC CAHPS for MIPS SSM: How Well Providers Communicate NA 90 NA NA NA NA
8729351077 PENN STATE HEALTH COMMUNITY MEDICAL GROUP, LLC CAHPS for MIPS SSM: Patient’s Rating of Provider NA NA 87 NA NA NA
8729351077 PENN STATE HEALTH COMMUNITY MEDICAL GROUP, LLC CAHPS for MIPS SSM: Health Promotion and Education NA NA NA 64 NA NA
8729351077 PENN STATE HEALTH COMMUNITY MEDICAL GROUP, LLC CAHPS for MIPS SSM: Stewardship of Patient Resources NA NA NA NA NA 32
9032125810 OPTUMCARE NEW MEXICO, LLC CAHPS for MIPS SSM: Getting Timely Care, Appointments, and Information 51 NA NA NA NA NA
9032125810 OPTUMCARE NEW MEXICO, LLC CAHPS for MIPS SSM: How Well Providers Communicate NA NA NA NA NA NA
9032125810 OPTUMCARE NEW MEXICO, LLC CAHPS for MIPS SSM: Patient’s Rating of Provider NA NA 79 NA NA NA
9032125810 OPTUMCARE NEW MEXICO, LLC CAHPS for MIPS SSM: Health Promotion and Education NA NA NA 47 NA NA
9032125810 OPTUMCARE NEW MEXICO, LLC CAHPS for MIPS SSM: Stewardship of Patient Resources NA NA NA NA NA 15
9133024334 SOUTHEAST MISSOURI HOSPITAL PHYSICIANS LLC CAHPS for MIPS SSM: Getting Timely Care, Appointments, and Information 77 NA NA NA NA NA
9133024334 SOUTHEAST MISSOURI HOSPITAL PHYSICIANS LLC CAHPS for MIPS SSM: How Well Providers Communicate NA 88 NA NA NA NA
9133024334 SOUTHEAST MISSOURI HOSPITAL PHYSICIANS LLC CAHPS for MIPS SSM: Patient’s Rating of Provider NA NA 84 NA NA NA
9133024334 SOUTHEAST MISSOURI HOSPITAL PHYSICIANS LLC CAHPS for MIPS SSM: Health Promotion and Education NA NA NA 53 NA NA
9133024334 SOUTHEAST MISSOURI HOSPITAL PHYSICIANS LLC CAHPS for MIPS SSM: Stewardship of Patient Resources NA NA NA NA NA 26
9133378870 NORTH OAKS PHYSICIAN GROUP, LLC CAHPS for MIPS SSM: Getting Timely Care, Appointments, and Information 69 NA NA NA NA NA
9133378870 NORTH OAKS PHYSICIAN GROUP, LLC CAHPS for MIPS SSM: How Well Providers Communicate NA 89 NA NA NA NA
9133378870 NORTH OAKS PHYSICIAN GROUP, LLC CAHPS for MIPS SSM: Patient’s Rating of Provider NA NA 89 NA NA NA
9133378870 NORTH OAKS PHYSICIAN GROUP, LLC CAHPS for MIPS SSM: Health Promotion and Education NA NA NA 63 NA NA
9133378870 NORTH OAKS PHYSICIAN GROUP, LLC CAHPS for MIPS SSM: Stewardship of Patient Resources NA NA NA NA NA 22
9234041708 PRESBYTERIAN HEALTHCARE SERVICES CAHPS for MIPS SSM: Getting Timely Care, Appointments, and Information NA NA NA NA NA NA
9234041708 PRESBYTERIAN HEALTHCARE SERVICES CAHPS for MIPS SSM: How Well Providers Communicate NA NA NA NA NA NA
9234041708 PRESBYTERIAN HEALTHCARE SERVICES CAHPS for MIPS SSM: Patient’s Rating of Provider NA NA NA NA NA NA
9234041708 PRESBYTERIAN HEALTHCARE SERVICES CAHPS for MIPS SSM: Health Promotion and Education NA NA NA 60 NA NA
9234041708 PRESBYTERIAN HEALTHCARE SERVICES CAHPS for MIPS SSM: Stewardship of Patient Resources NA NA NA NA NA 16
9638491574 SCL HEALTH MEDICAL GROUP - BILLINGS LLC CAHPS for MIPS SSM: Getting Timely Care, Appointments, and Information 61 NA NA NA NA NA
9638491574 SCL HEALTH MEDICAL GROUP - BILLINGS LLC CAHPS for MIPS SSM: How Well Providers Communicate NA 84 NA NA NA NA
9638491574 SCL HEALTH MEDICAL GROUP - BILLINGS LLC CAHPS for MIPS SSM: Patient’s Rating of Provider NA NA 82 NA NA NA
9638491574 SCL HEALTH MEDICAL GROUP - BILLINGS LLC CAHPS for MIPS SSM: Health Promotion and Education NA NA NA 67 NA NA
9638491574 SCL HEALTH MEDICAL GROUP - BILLINGS LLC CAHPS for MIPS SSM: Stewardship of Patient Resources NA NA NA NA NA 24
9830002617 VIRGINIA MASON MEDICAL CENTER CAHPS for MIPS SSM: Getting Timely Care, Appointments, and Information 55 NA NA NA NA NA
9830002617 VIRGINIA MASON MEDICAL CENTER CAHPS for MIPS SSM: How Well Providers Communicate NA 81 NA NA NA NA
9830002617 VIRGINIA MASON MEDICAL CENTER CAHPS for MIPS SSM: Patient’s Rating of Provider NA NA 80 NA NA NA
9830002617 VIRGINIA MASON MEDICAL CENTER CAHPS for MIPS SSM: Health Promotion and Education NA NA NA 62 NA NA
9830002617 VIRGINIA MASON MEDICAL CENTER CAHPS for MIPS SSM: Stewardship of Patient Resources NA NA NA NA NA 20
9830008770 WASHINGTON UNIVERSITY CAHPS for MIPS SSM: Getting Timely Care, Appointments, and Information 65 NA NA NA NA NA
9830008770 WASHINGTON UNIVERSITY CAHPS for MIPS SSM: How Well Providers Communicate NA NA NA NA NA NA
9830008770 WASHINGTON UNIVERSITY CAHPS for MIPS SSM: Patient’s Rating of Provider NA NA NA NA NA NA
9830008770 WASHINGTON UNIVERSITY CAHPS for MIPS SSM: Health Promotion and Education NA NA NA 61 NA NA
9830008770 WASHINGTON UNIVERSITY CAHPS for MIPS SSM: Stewardship of Patient Resources NA NA NA NA NA 28
9830093640 COOPERATIVE HEALTHCARE SERVICES, INC. CAHPS for MIPS SSM: Getting Timely Care, Appointments, and Information 65 NA NA NA NA NA
9830093640 COOPERATIVE HEALTHCARE SERVICES, INC. CAHPS for MIPS SSM: How Well Providers Communicate NA 87 NA NA NA NA
9830093640 COOPERATIVE HEALTHCARE SERVICES, INC. CAHPS for MIPS SSM: Patient’s Rating of Provider NA NA 78 NA NA NA
9830093640 COOPERATIVE HEALTHCARE SERVICES, INC. CAHPS for MIPS SSM: Health Promotion and Education NA NA NA 52 NA NA
9830093640 COOPERATIVE HEALTHCARE SERVICES, INC. CAHPS for MIPS SSM: Stewardship of Patient Resources NA NA NA NA NA 25
9830094515 SUTTER VALLEY MEDICAL FOUNDATION CAHPS for MIPS SSM: Getting Timely Care, Appointments, and Information 60 NA NA NA NA NA
9830094515 SUTTER VALLEY MEDICAL FOUNDATION CAHPS for MIPS SSM: How Well Providers Communicate NA NA NA NA NA NA
9830094515 SUTTER VALLEY MEDICAL FOUNDATION CAHPS for MIPS SSM: Patient’s Rating of Provider NA NA 88 NA NA NA
9830094515 SUTTER VALLEY MEDICAL FOUNDATION CAHPS for MIPS SSM: Health Promotion and Education NA NA NA 55 NA NA
9830094515 SUTTER VALLEY MEDICAL FOUNDATION CAHPS for MIPS SSM: Stewardship of Patient Resources NA NA NA NA NA 24
9931011434 PATIENT FIRST RICHMOND MEDICAL GROUP PLLC CAHPS for MIPS SSM: Getting Timely Care, Appointments, and Information 80 NA NA NA NA NA
9931011434 PATIENT FIRST RICHMOND MEDICAL GROUP PLLC CAHPS for MIPS SSM: How Well Providers Communicate NA NA NA NA NA NA
9931011434 PATIENT FIRST RICHMOND MEDICAL GROUP PLLC CAHPS for MIPS SSM: Patient’s Rating of Provider NA NA NA NA NA NA
9931011434 PATIENT FIRST RICHMOND MEDICAL GROUP PLLC CAHPS for MIPS SSM: Health Promotion and Education NA NA NA 45 NA NA
9931011434 PATIENT FIRST RICHMOND MEDICAL GROUP PLLC CAHPS for MIPS SSM: Stewardship of Patient Resources NA NA NA NA NA 19
# convert to wider, with id column correctly specified
cms_patient_experience |> 
  pivot_wider(
    id_cols = starts_with("org"),
    names_from = measure_cd,
    values_from = prf_rate
  )
org_pac_id org_nm CAHPS_GRP_1 CAHPS_GRP_2 CAHPS_GRP_3 CAHPS_GRP_5 CAHPS_GRP_8 CAHPS_GRP_12
0446157747 USC CARE MEDICAL GROUP INC 63 87 86 57 85 24
0446162697 ASSOCIATION OF UNIVERSITY PHYSICIANS 59 85 83 63 88 22
0547164295 BEAVER MEDICAL GROUP PC 49 NA 75 44 73 12
0749333730 CAPE PHYSICIANS ASSOCIATES PA 67 84 85 65 82 24
0840104360 ALLIANCE PHYSICIANS INC 66 87 87 64 87 28
0840109864 REX HOSPITAL INC 73 87 84 67 91 30
0840513552 SCL HEALTH MEDICAL GROUP DENVER LLC 58 83 76 58 78 26
0941545784 GRITMAN MEDICAL CENTER INC 46 86 81 54 NA 25
1052612785 COMMUNITY MEDICAL GROUP LLC 65 84 80 58 87 29
1254237779 OUR LADY OF LOURDES MEMORIAL HOSPITAL, INC 61 NA NA 65 NA 17
1557267069 ST MARYS HOSPITAL AND MEDICAL CENTER INC NA NA NA NA NA NA
1759293111 ALBANY MEDICAL COLLEGE 65 86 81 62 76 17
1759293954 GROUP HEALTH PLAN INC 60 89 86 58 88 13
1759392079 OHH PHYSICIANS LLC 75 NA 86 55 89 19
2163417478 UNITED REGIONAL PHYSICIAN GROUP 63 NA 76 60 84 20
2264345206 MARSHFIELD CLINIC INC 56 83 80 65 81 17
2365352820 SIU PHYSICIANS AND SURGEONS INC NA NA 85 60 81 24
2466351481 CHRISTIANA CARE HEALTH INITIATIVES 68 NA 86 74 NA NA
2466356209 HARBOR MEDICAL ASSOCIATES INC 57 87 85 67 82 16
2466633102 SCL HEALTH MEDICAL GROUP - BUTTE LLC 66 NA NA 54 83 NA
2860304334 BOARD OF REGENTS OF THE UNIVERSITY OF OKLAHOMA - OU PHYSICIANS 69 91 89 64 87 27
2860392529 CAMPBELL COUNTY HOSPITAL DISTRICT 64 82 80 56 84 30
2860396330 SUMMIT MEDICAL GROUP PLLC 70 88 86 64 84 27
3072422716 THE BOARD OF TRUSTEES OF THE UNIVERSITY OF ILLINOIS NA NA 86 NA NA NA
3173436490 THE VANCOUVER CLINIC INC PS 60 85 82 57 83 21
3173660776 WESTCHESTER MEDICAL CENTER ADVANCED PHYSICIAN SERVICES PC 72 88 85 59 NA 21
3375456734 UTMB FACULTY GROUP PRACTICE NA NA NA 59 NA 24
3476725599 UNIVERSITY OF LOUISVILLE PHYSICIANS, INC 69 90 86 59 NA 29
3779751656 CITY OF HOPE MEDICAL FOUNDATION 72 87 86 53 NA 19
3870405988 BRIGHAM AND WOMENS PHYSICIANS ORGANIZATION INC 65 88 80 67 NA 18
4284538778 SUTTER BAY MEDICAL FOUNDATION 65 88 86 57 NA 20
4385538735 PATIENT FIRST MARYLAND MEDICAL GROUP PLLC NA NA NA 44 NA 24
4486568698 MEDICAL ASSOCIATES OF EAST AL, PC NA NA NA NA NA NA
4486646197 SJHMC PHYSICIAN SERVICES C/O DIGNITY HEALTH 59 88 85 68 NA 23
4587575550 THE MARY LANNING MEMORIAL HOSPITAL ASSOCIATION 68 85 79 65 NA 26
4587578042 LITTLE COMPANY OF MARY HOSPITAL OF INDIANA INC 75 90 87 62 NA 33
4880590728 UNIVERSITY OF VIRGINIA PHYSICIANS GROUP 63 86 81 61 NA 23
5092628479 KAUAI MEDICAL CLINIC 60 83 80 56 NA 18
5193900280 PATIENT FIRST PENNSYLVANIA MEDICAL GROUP PLLC NA NA 77 NA NA NA
5294644381 KALISPELL REGIONAL MEDICAL CENTER INC 60 81 77 56 NA 23
5294646378 UNIVERSITY HEALTH SYSTEM,INC 64 89 87 62 NA 31
5395642276 SUMMIT MEDICAL GROUP PA 64 86 84 65 NA 20
5496648875 TRINITY WEST 76 90 88 57 NA 37
5799694675 ST VINCENT HOSPITAL-HOSPITAL SISTERS-THIRD ORDER OF ST FRANCIS 65 86 84 59 NA 22
5799698346 SWEDISHAMERICAN HOSPITAL 55 81 77 65 NA 20
5890054100 PLATTE VALLEY MEDICAL GROUP LLC 64 NA 81 57 NA 18
5890606008 HOLZER CLINIC LLC 74 90 85 67 NA 28
5890689657 EISENHOWER MEDICAL CENTER 56 83 78 66 NA 20
5890689715 DUBOIS REGIONAL MEDICAL CENTER 62 NA NA 66 NA NA
5890691075 RAPID CITY MEDICAL CENTER LLP 68 84 81 53 NA 24
5991776635 MARTIN’S POINT HEALTH CARE 61 85 78 59 NA 17
6002728656 GUTHRIE MEDICAL GROUP PC 70 88 82 64 NA 20
6103115183 SILICON VALLEY MEDICAL DEVELOPMENT LLC 57 87 83 58 NA 22
6204740731 LICKING MEMORIAL PROFESSIONAL CORPORATION 62 NA 77 53 NA 24
6305759754 STRAUB CLINIC AND HOSPITAL 71 86 82 57 NA 15
6305810201 NORTH COAST PROFESSIONAL COMPANY, LLC 77 93 89 65 NA 32
6406752153 THE EVERETT CLINIC, PLLC 62 86 79 57 NA 17
6406901941 MONTAGE MEDICAL GROUP 53 NA 70 57 NA 20
6709772767 HEARTLAND REGIONAL MEDICAL CENTER 74 84 87 64 NA 21
6709797491 STANFORD HEALTH CARE 59 NA 86 58 NA 22
6901099746 STAMFORD HEALTH MEDICAL GROUP INC 73 91 88 58 NA 23
6901791367 KINGMAN HEALTHCARE, INC NA NA 72 55 NA 16
7012058548 SOUTHEASTERN REGIONAL PHYSICIAN SERVICES 66 85 75 61 NA NA
7012808827 OVERLAKE MEDICAL CLINICS LLC 66 87 84 63 NA 25
7214841436 GENESIS HEALTH SYSTEM 72 89 86 64 NA 20
7214936533 BEND MEMORIAL CLINIC PC 57 85 76 63 NA 25
7618270729 RMH MEDICAL GROUP LLC 61 84 81 57 NA 21
7618861105 MERCY HOSPITAL AND MEDICAL CENTER 61 85 76 63 NA 21
7618871799 LEXINGTON COUNTY HEALTH SERVICES DISTRICT INC 73 88 87 53 NA 22
7618880097 KING COUNTY PUBLIC HOSPITAL DISTRICT NO 2 57 89 83 59 NA 19
7719876267 SIGNATURE HEALTHCARE MEDICAL GROUP INC 60 82 78 63 NA 17
7911801410 PHYSICIANS REFERRAL SERVICE 76 NA 96 NA NA NA
7911816020 TRINITY HEALTH 58 83 75 59 NA 23
8022904473 COMMUNITY CARE PHYSICIANS PC 67 85 81 61 NA 18
8123200540 STERN CARDIOVASCULAR FOUNDATION, INC 69 87 85 54 NA 30
8325952914 LAKELAND REGIONAL HEALTH SYSTEMS INC 62 80 78 65 NA 21
8426112350 PHOEBE PHYSICIAN GROUP INC 64 NA 85 53 NA 16
8426113663 CHESAPEAKE REGIONAL MEDICAL GROUP 69 84 82 64 NA 23
8426136797 MOUNT NITTANY MEDICAL CENTER HEALTH SERVICES INC 71 90 88 62 NA 26
8426231119 VIRGINIA HOSPITAL CENTER PHYSICIAN GROUP LLC 56 85 80 61 NA 16
8527044551 MICHIGAN PRIMARY CARE PARTNERS P C NA NA NA NA NA NA
8628073236 PHYSICIAN PRIMECARE, INC 62 88 88 58 NA 22
8729072418 SACRED HEART HOSPITAL OF THE HOSPITAL SISTERS-3RD ORDER OF ST FRANCIS 75 88 86 57 NA NA
8729139852 ALBEMARLE PHYSICIAN SERVICES- SENTARA INC NA NA NA NA NA NA
8729351077 PENN STATE HEALTH COMMUNITY MEDICAL GROUP, LLC 70 90 87 64 NA 32
9032125810 OPTUMCARE NEW MEXICO, LLC 51 NA 79 47 NA 15
9133024334 SOUTHEAST MISSOURI HOSPITAL PHYSICIANS LLC 77 88 84 53 NA 26
9133378870 NORTH OAKS PHYSICIAN GROUP, LLC 69 89 89 63 NA 22
9234041708 PRESBYTERIAN HEALTHCARE SERVICES NA NA NA 60 NA 16
9638491574 SCL HEALTH MEDICAL GROUP - BILLINGS LLC 61 84 82 67 NA 24
9830002617 VIRGINIA MASON MEDICAL CENTER 55 81 80 62 NA 20
9830008770 WASHINGTON UNIVERSITY 65 NA NA 61 NA 28
9830093640 COOPERATIVE HEALTHCARE SERVICES, INC. 65 87 78 52 NA 25
9830094515 SUTTER VALLEY MEDICAL FOUNDATION 60 NA 88 55 NA 24
9931011434 PATIENT FIRST RICHMOND MEDICAL GROUP PLLC 80 NA NA 45 NA 19

Convert our mean-scored data from longer format back to wider:

# dat_likert_wide_meanscored <- dat_likert_long_meanscored %>%
#   pivot_wider(names_from = scale,
#               values_from = meanscore)

11.8 Practice pivot_wider() more

Wrangle the demographics data from one of the early chapters to calculate the sample size, the M and SD age, and the counts of each gender.

Before, we used filter() to wrangle the age and gender data separately. This time, reshape it using a pivot.

dat_demographics_raw <- read_csv("../data/raw/data_demographics_raw.csv")

11.8.1 Practice pivot_wider() and other functions

The Affect Misattribution Procedure (AMP) claims to be a measure of automatic evaluations of stimuli without the participants intention or awareness (Payne et al., 2013). This data comes from an AMP study where participants are asked to evaluate Chinese characters and ignore the picture stimuli that are briefly presented before each Chinese character. The AMP effect is quantified as the difference in the ratings of the Chinese characters preceeded by one stimulus type (positive) vs. the other (negative). The idea is that participants should not evaluate the images, only the Chinese characters, but the images nonetheless influence their evaluations.

  • Remove the instructions trials and the practice trials.
  • Create an ‘evaluation’ variable. When the stimulus was prime_positive, ‘evaluation’ = ‘correct’. When stimulus was prime_negative, ‘evaluation’ is ‘correct’ reverse scored.
  • Calculate the mean evaluation per stimulus type (positive vs negative)
  • Pivot the data wider so that you have mean_evaluation_positive and mean_evaluation_negative.
  • Calculate the amp_effect for each participant: the difference in mean evaluations of the positive vs. negative stimuli.
  • Create a separate data frame with the mean and SD of the amp_effect in the sample. If mean evaluation deviates from 0.5 (neutral), and AMP effect is present.
dat_amp <- read_csv("../data/raw/data_amp_raw.csv")

11.9 Advanced pivot_longer()

Sometimes we want to pivot multiple columns at once. This too is possible.

# wider data
household
family dob_child1 dob_child2 name_child1 name_child2
1 1998-11-26 2000-01-29 Susan Jose
2 1996-06-22 NA Mark NA
3 2002-07-11 2004-04-05 Sam Seth
4 2004-10-10 2009-08-27 Craig Khai
5 2000-12-05 2005-02-28 Parker Gracie
# longer data
household |> 
  pivot_longer(
    cols = !family, 
    names_to = c(".value", "child"), # values come from .value placeholder
    names_sep = "_", 
    values_drop_na = TRUE
  )
family child dob name
1 child1 1998-11-26 Susan
1 child2 2000-01-29 Jose
2 child1 1996-06-22 Mark
3 child1 2002-07-11 Sam
3 child2 2004-04-05 Seth
4 child1 2004-10-10 Craig
4 child2 2009-08-27 Khai
5 child1 2000-12-05 Parker
5 child2 2005-02-28 Gracie